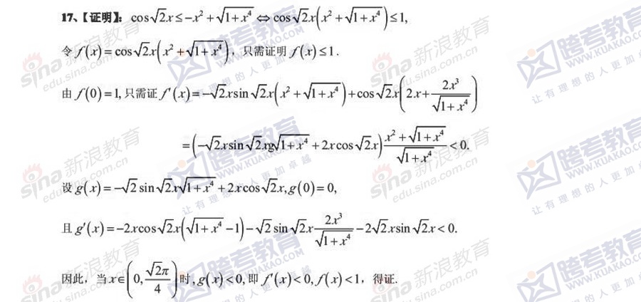
![]() 【正确答案】 ![]() 【您的答案】修改 1、 2、 3、 4、 ![]() 【正确答案】 ![]() 【您的答案】修改 5、 6、 7、 8、 ![]() 【正确答案】 ![]() 【您的答案】修改 9、A、 10、A、 11、A、 12、A、 13、A、 14、A、 ![]() 【正确答案】 ![]() 【您的答案】修改 15、 ![]() 【正确答案】 ![]() 【您的答案】修改 16、 ![]() 【正确答案】 ![]() 【您的答案】修改 17、 ![]() 【正确答案】 ![]() 【您的答案】修改 18、 ![]() 【正确答案】 ![]() 【您的答案】修改 19、 ![]() 【正确答案】 ![]() 【您的答案】修改 20、 ![]() 【正确答案】 ![]() 【您的答案】修改 21、 ![]() 【正确答案】 ![]() 【您的答案】修改 22、 ![]() 【正确答案】 ![]() 【您的答案】修改 23、 |
























