快速导航
半岛在线注册新闻
统考公共课
统考专业课
半岛在线注册指南经验
半岛在线注册院校
专业硕士
专业课资料
半岛在线注册电子书
考试考证
出国留学
Free半岛在线注册考试
题库
故事
专题
APP
笔记
论坛
搜索
VIP
资料
首页
>
半岛在线注册数学
>
数学资料
跨考教育2014年半岛在线注册《数学二》模拟试题及参考答案(十)
跨考教育 /2014-01-10
【正确答案】
【您的答案】修改
1、
2、
3、
4、
【正确答案】
【您的答案】修改
5、
6、
7、
8、
【正确答案】
【您的答案】修改
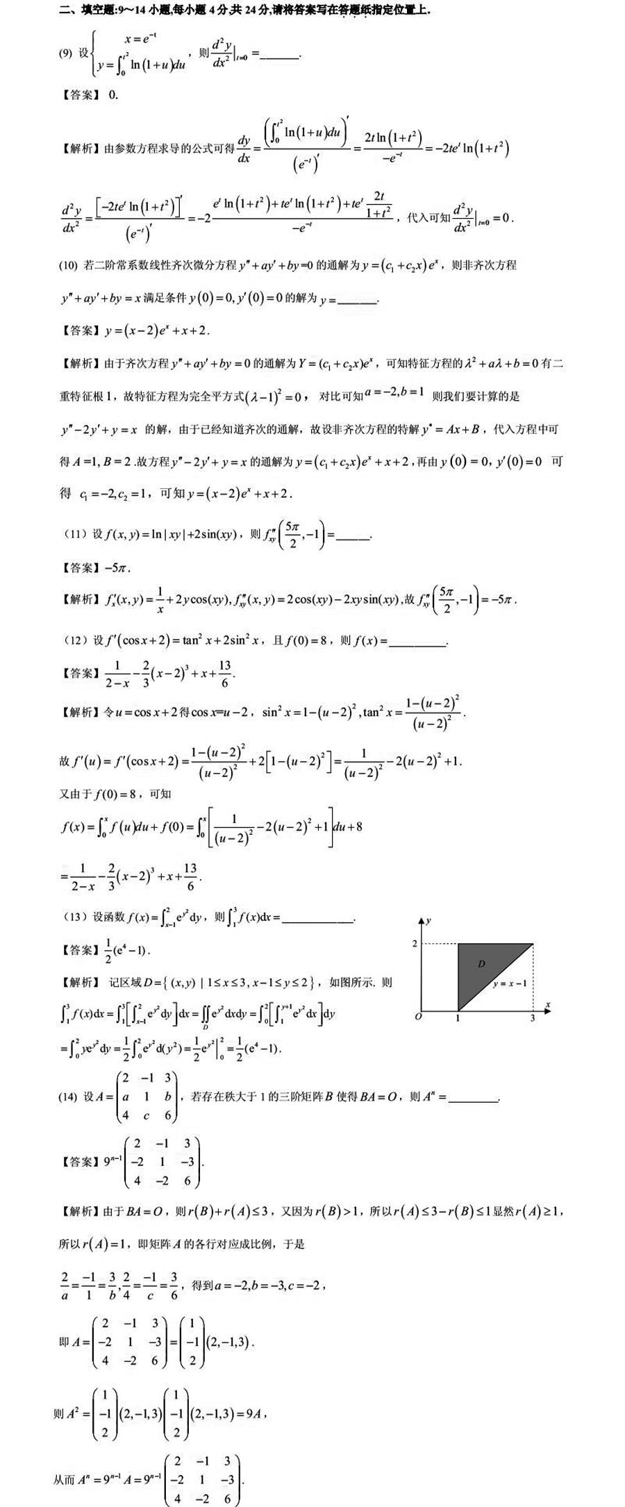
9、A、
10、A、
11、A、
12、A、
13、A、
14、A、
【正确答案】
【您的答案】修改
15、
【正确答案】
【您的答案】修改
16、
【正确答案】
【您的答案】修改
17、
【正确答案】
【您的答案】修改
18、
【正确答案】
【您的答案】修改
19、
【正确答案】
【您的答案】修改
20、
【正确答案】
【您的答案】修改
21、
【正确答案】
【您的答案】修改
22、
【正确答案】
【您的答案】修改
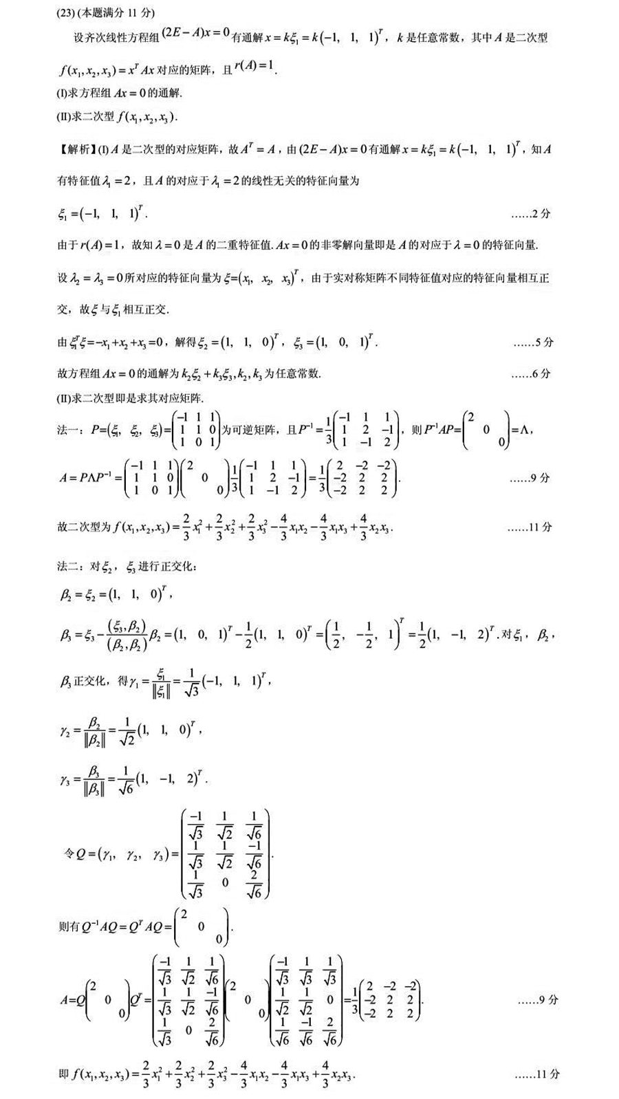
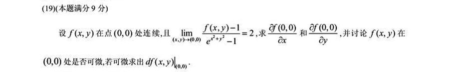
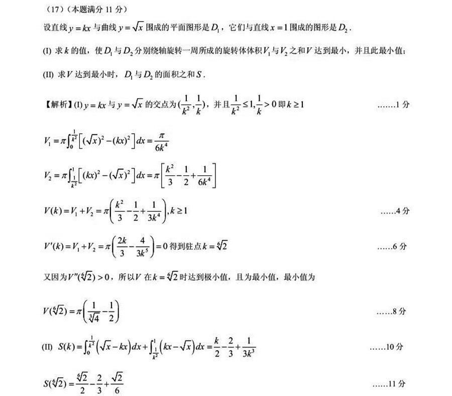
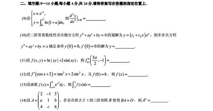
23、
相关话题/
数学二
模拟试题
领限时大额优惠券,享本站正版半岛在线注册考试资料!
优惠券领取后72小时内有效,10万种最新半岛在线注册考试考证类电子打印资料任你选。涵盖全国500余所院校半岛在线注册专业课、200多种职业资格考试、1100多种经典教材,产品类型包含电子书、题库、全套资料以及视频,无论您是半岛在线注册复习、考证刷题,还是考前冲刺等,不同类型的产品可满足您学习上的不同需求。 ...
考试优惠券
本站小编 Free壹佰分学习网 2022-09-19
跨考教育2014年半岛在线注册《数学二》模拟试题及参考答案(九)
...
数学资料
跨考教育 2014-01-10
跨考教育2014年半岛在线注册《数学二》模拟试题及参考答案(八)
...
数学资料
跨考教育 2014-01-10
跨考教育2014年半岛在线注册《数学二》模拟试题及参考答案(七)
...
数学资料
跨考教育 2014-01-10
跨考教育2014年半岛在线注册《数学二》模拟试题及参考答案(六)
...
数学资料
跨考教育 2014-01-10
跨考教育2014年半岛在线注册《数学二》模拟试题及参考答案(五)
...
数学资料
跨考教育 2014-01-10
跨考教育2014年半岛在线注册《数学二》模拟试题及参考答案(四)
...
数学资料
跨考教育 2014-01-10
跨考教育2014年半岛在线注册《数学二》模拟试题及参考答案(三)
...
数学资料
跨考教育 2014-01-10
跨考教育2014年半岛在线注册《数学二》模拟试题及参考答案(二)
...
数学资料
跨考教育 2014-01-10
跨考教育2014年半岛在线注册《数学二》模拟试题及参考答案(一)
...
数学资料
跨考教育 2014-01-10
跨考教育2014半岛在线注册数学一冲刺模拟试题及参考答案汇总
距离2014年研究生考试还有最后几天。新浪小编整理了2014年半岛在线注册[微博]冲刺阶段《数学一》模拟题,希望对备考的你有所帮助。 ...
数学资料
跨考教育 2014-01-10
米兰体育·(MiLan Sports)官方网站
|
欧亿体育-欧亿体育(中国)
|
九游娱乐-「最佳互动游戏平台」
|
米兰体育·(MiLan Sports)官方网站
|
米兰体育 (中国) 官方网站-MILAN SPORTS
|
开云在线登录官网_开云(中国)
|
开云电子-开云电子(中国)
|
开云手机在线登陆入口-开云(中国)官方
|