
厦门大学2016数学分析半岛在线注册真题
本站小编 半岛在线注册/2016-02-05

相关话题/数学分析
四川大学2000-2015数学分析半岛在线注册真题
专业课半岛在线注册资料 本站小编 半岛在线注册 2016-01-09华南理工大学2004数学分析半岛在线注册真题解答
...专业课半岛在线注册资料 本站小编 半岛在线注册 2016-01-04华南理工大学2007-2006数学分析半岛在线注册真题解答
专业课半岛在线注册资料 本站小编 半岛在线注册 2016-01-04华南理工大学2010-2009数学分析半岛在线注册真题解答
专业课半岛在线注册资料 本站小编 半岛在线注册 2016-01-04华南理工大学2013年数学分析半岛在线注册试题参考解答
专业课半岛在线注册资料 本站小编 半岛在线注册 2016-01-04北京大学2016数学分析、高等代数半岛在线注册真题
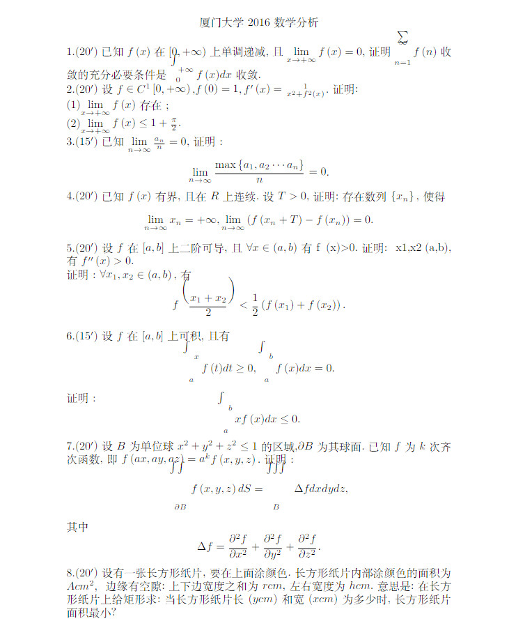
专业课半岛在线注册资料 本站小编 半岛在线注册 2016-01-01厦门大学2016数学分析半岛在线注册真题
专业课半岛在线注册资料 本站小编 半岛在线注册 2016-01-01南开大学2016数学分析半岛在线注册真题
专业课半岛在线注册资料 本站小编 半岛在线注册 2016-01-01北京大学2016数学分析半岛在线注册真题
专业课半岛在线注册资料 本站小编 半岛在线注册 2015-12-27西北大学2010年数学分析半岛在线注册真题(附答案)
专业课半岛在线注册资料 本站小编 半岛在线注册 2015-11-10
