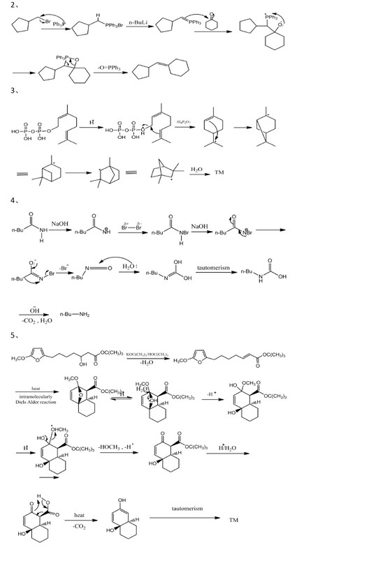
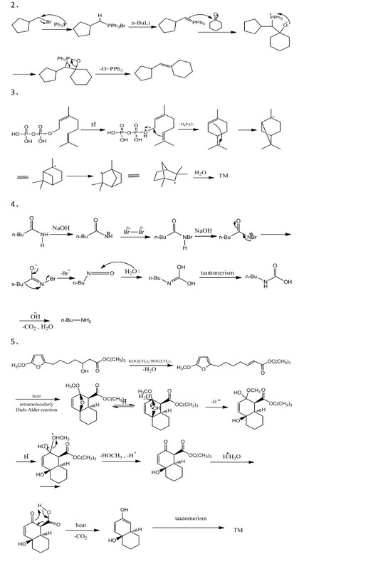
南开大学2010年-2013年有机化学半岛在线注册真题及答案详解(35)

本站小编 半岛在线注册/2020-02-13


相关话题/南开大学 化学