我是去年的这个时候考的本身自己的大学就是普通一本,自己又什么都不会,而且毕业只能去做销售,还是觉得半岛在线注册比较靠谱,首先我选择考一个好的学校,而且必须是985工程,因为在中国牌子是最重要的
。我学的是制药专业,首先就选择了南开大学,中国海洋大学,天津大学,最后综合自己的实际水平还是选择了南开大学,我自己的本 ...
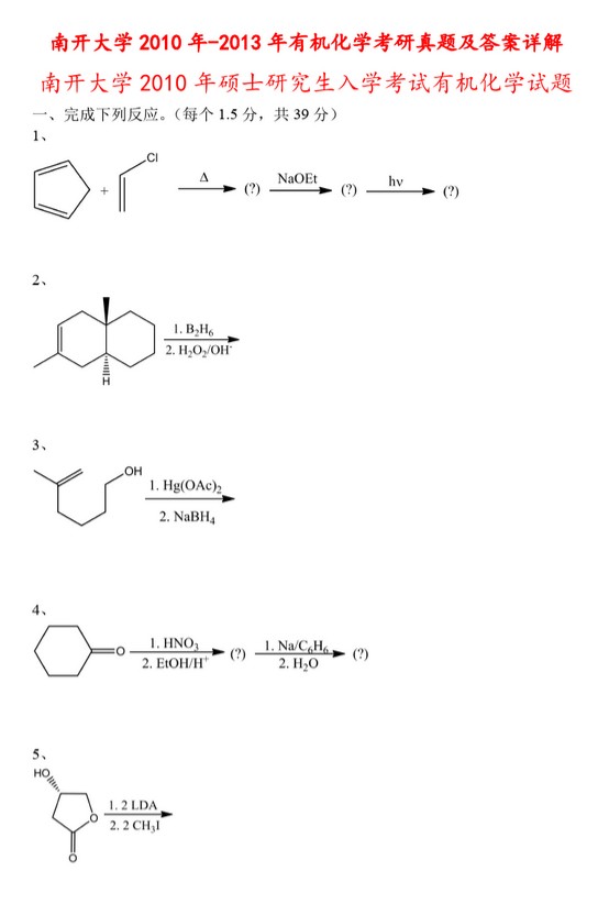
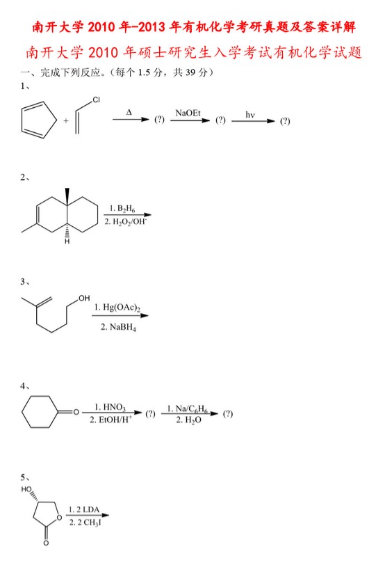
专业课半岛在线注册经验 本站小编 半岛在线注册 2020-02-09【学科化学】
半岛在线注册的一路受到很多人的帮助,希望我也可以帮助到其他人,继续将这份爱心传递下去(主要是为了复试攒人品)不不不,我就是一个善良的小天使,不接受辩驳
半岛在线注册过去了,终于整理好心情写下这篇文字。
半岛在线注册结束的那天,没有意料中如释重负的感觉,也没有终于结束了的欢呼雀跃,取而代之的,竟 ...
专业课半岛在线注册经验 本站小编 半岛在线注册 2020-02-09以课本为基础,真题为导向。
一、 书单
以下是我根据往年学姐们的建议,在备考期间看过的书
1.现代汉语和古代汉语
《现代汉语》黄廖版(基础)
《现代汉语通论》邵敬敏(基础:有些课后题是真题)
《现代汉语通论答案》(重要:课后题答案)
《现代汉语语法教程》陆俭明(特别重要:许多分析题都从这本 ...
专业课半岛在线注册经验 本站小编 半岛在线注册 2020-02-06- 专业课半岛在线注册资料 本站小编 半岛在线注册 2020-02-04
- 专业课半岛在线注册资料 本站小编 半岛在线注册 2020-02-04
- 专业课半岛在线注册资料 本站小编 半岛在线注册 2020-02-04
1、选择题(选择题只记得大概题目具体选项嘛记不太清了,其实选择题就10分不难的,复习前几年真题是可以应对的)
1碱性氨基酸在PH为7的溶液中的电性
2有转移集团作用的维生素辅因子
3丙酮酸脱氢酶由几种酶组成,几种辅因子
4脂肪酸生物合成中,将乙酰CoA从线粒体运进细胞质的是什么循环
5根据操纵子学说,对基因活 ...
专业课半岛在线注册资料 本站小编 半岛在线注册 2020-02-03
今年药物化学不难,感觉难在619。自己物理化学本来就不好,准备靠有机拿点分,但是有机也突变了!题型变成机理题,合成题和推断题。然后楼主有夭寿了。应该过不了线了,苦兮兮的。虽然可能过不了,但是我还是把我记得的药物化学的试题写出来了。非常感谢版主大大!今年药物化学考的比较基础,很多题以前真题见过。但是仍然建 ...
专业课半岛在线注册资料 本站小编 半岛在线注册 2020-02-01- 专业课半岛在线注册资料 本站小编 半岛在线注册 2020-01-29
大题
生化:pcr的特异性表现在哪里
胆固醇的合成主要产物,关键酶,。。。
三羧酸循环为枢纽的原因
细菌中水的作用(普生or生化)
普生:历年真题没考到的最后一道论述:社群生活的好处,有两题是19年原题所以不要抱有侥幸心理,说考过的不会再考 ...
专业课半岛在线注册资料 本站小编 半岛在线注册 2020-01-29433
简答
1为什么完全竞争厂商和行业有供给曲线,完全垄断没有
2总供给曲线为什么向右下方
3公共产品的评估过程中如何衡量时间价值
4我国债务风险产生原因分析
计算
1国际税收间接抵免①居民管辖权,公民管辖权,地域管辖权如何确定其管辖范围②计算母子孙公司间接抵免及在各国应纳税额的计算
2国内出口企业,计算退 ...
专业课半岛在线注册资料 本站小编 半岛在线注册 2020-01-27- 半岛在线注册复试经验 本站小编 半岛在线注册 2020-01-27
各位报考南开大学研究生的考生,你们好,首先恭喜你坚持到现在,半岛在线注册是一条孤独的路,我亲身走过两次,辅导陪跑了三次,所以我理解半岛在线注册学子的难处。
自我介绍一下,楼主是南开大学金融学院2017级保险学硕统考录取唯一人,初试成绩393,全学院前十名,复试成绩84,专业第二名。自己是跨考,二战录取的。随后一直专注于 ...
半岛在线注册复试经验 本站小编 半岛在线注册 2020-01-27中国药科大学
2014攻读硕士学位研究生入学考试生物化学试题
科目代码:712满分150分共页第页
注意:①认真阅读答题纸上的注意事项;②
纸或草稿纸上均无效;③本试题纸须随答题纸一起装入试题袋中交回!
一、单项选择题(每题2分,共30分):
1.需要引物分子参与生物合成反应的有:()
(1)脂肪合成;(2 ...
专业课半岛在线注册资料 本站小编 半岛在线注册 2020-01-26 视频选集1/5 P1基础班 01化学热力学基础—气体01 P2基础班 02 化学热力学基础—热力学第一定律01 P3基础班 02 化学热力学基础—热力学第一定律02 P4基础班 02 化学热力学基础—热力学第一定律03 P5基础班 02 化学热力学基础—热力学第一定律 ...
考试视频 本站小编 半岛在线注册 2020-01-26