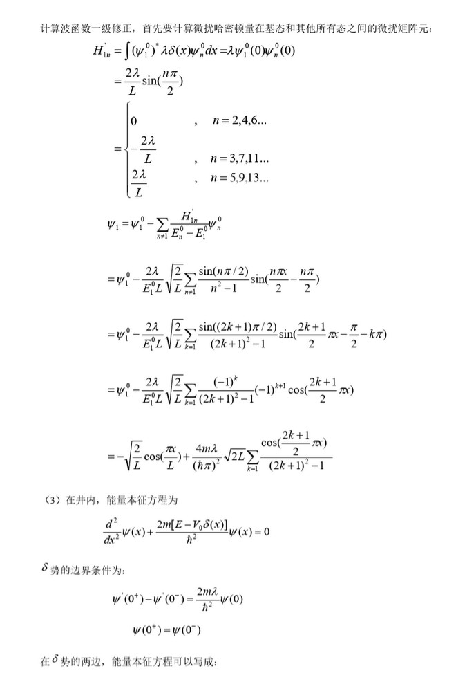
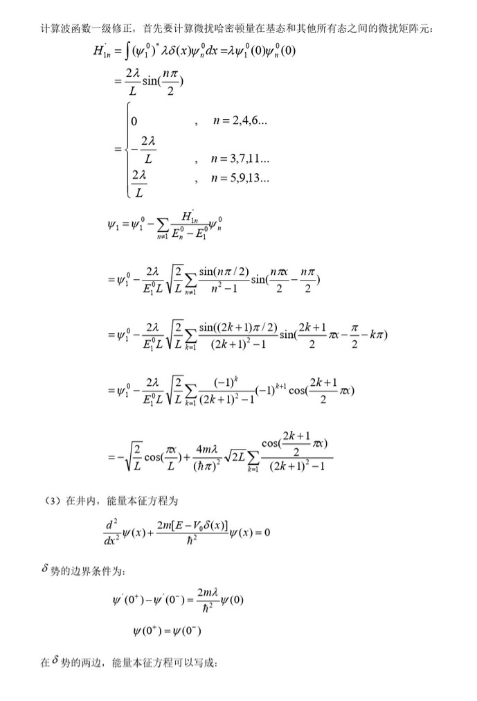
...
专业课半岛在线注册资料 本站小编 半岛在线注册 2020-01-22- 专业课半岛在线注册资料 本站小编 半岛在线注册 2020-01-17
- 专业课半岛在线注册资料 本站小编 半岛在线注册 2020-01-17
- 专业课半岛在线注册资料 本站小编 半岛在线注册 2020-01-17
- 专业课半岛在线注册资料 本站小编 半岛在线注册 2020-01-16
- 专业课半岛在线注册资料 本站小编 半岛在线注册 2020-01-16
- 专业课半岛在线注册资料 本站小编 半岛在线注册 2020-01-16

作者: 北辰昊轩 时间: 2020-1-13 10:21
标题: 2020长安大学流体力学831回忆版
直接上图了,考完当天回忆的
希望复试自己可以好好发挥,有如神助,顺利上岸
作者: 北辰昊轩 时间: 2020-1-13 10:29
注:19年的流体力学基本全是常规提醒,并没有难题和比较偏知识点的考察,重点内容要重点复习
竟然真的考画图了,还 ...
专业课半岛在线注册资料 本站小编 半岛在线注册 2020-01-13
作者: 冰火南北 时间: 2015-2-28 17:46
标题: 2015中科院量子力学(811)答案
个人写的2015中科院量子力学答案,想与大伙交流一下
作者: 冰火南北 时间: 2015-2-28 17:47
作者: olm658 时间: 2015-6-28 22:26
楼主你好,关于第一大题将第一激发态按照动量本征态展开,动量本征态是连续谱 ...
专业课半岛在线注册资料 本站小编 半岛在线注册 2020-01-13- 专业课半岛在线注册资料 本站小编 半岛在线注册 2020-01-09
- 专业课半岛在线注册资料 本站小编 半岛在线注册 2020-01-09
作者: 大脸兔子1 时间: 2020-1-2 15:21
标题: 2020中国地质大学(北京)813土力学(回忆完整版)
一、名词解释(30分)
临界水力梯度
正常固结土
有效应力原理
超细孔隙水压力
渗透固结
干密度
弱结合水
极限平衡法
基底压力
抗剪强度
二、选择题(20分)
1.根据颗粒级配曲线,正确的是()
A.Cu越大土颗粒越均匀 ...
专业课半岛在线注册资料 本站小编 半岛在线注册帮 2020-01-04作者: 物化乙 时间: 2019-12-30 14:27
标题: 中科院825物化乙真题回忆
总体题目分布:判断18个,每题一分,选择28个,每个两分(没有多选);大题10个,总分76
选择判断略,太多了,记不住哎呀]
具体考的知识点:热力学的三个判据,熵、吉布斯自由能、亥姆霍兹自由能
溶质的萃取计算,
电动势相关的,所有物质处 ...
专业课半岛在线注册资料 本站小编 半岛在线注册 2020-01-022019年中国海洋大学环境学院考博题
科目:环境工程
专业:环境工程学
1.论述铁的主要沉积岩石的构造与内容
2.环境工程中应该重视什么原则
3.论述地球外部圈层的划分?
4.第四纪以来中国主要发生了哪些造山运动
5.最近几年中地质学技术的应用与发展。
专业:土力学
论述题
1.土地构造力在工程施工 ...
考博 本站小编 半岛在线注册 2019-12-29非常好的材料力学复习习题,集成了各个高校的半岛在线注册真题,Free半岛在线注册独家秘密提供哦,可惜的是没有答案. ...
专业课半岛在线注册资料 本站小编 半岛在线注册 2019-12-29