作者: 冰火南北 时间: 2015-2-28 17:46
标题: 2015中科院量子力学(811)答案
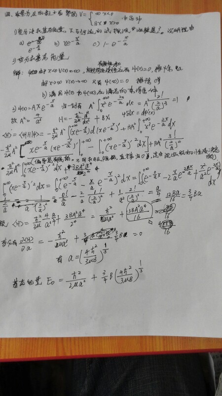
个人写的2015中科院量子力学答案,想与大伙交流一下

作者: 冰火南北 时间: 2015-2-28 17:47

作者: olm658 时间: 2015-6-28 22:26
楼主你好,关于第一大题将第一激发态按照动量本征态展开,动量本征态是连续谱,怎么能用两个分立的动量本征态展开呢?还有,第二激发态的动量平均值可以直接求出是个定值,怎么可能会等于0呢?楼主其余几题解法皆好,唯独此题盼回复,在下以为这一题是否出题人搞错了?
作者: wqqzym 时间: 2015-9-5 12:46
olm658 发表于 2015-6-28 22:26
楼主你好,关于第一大题将第一激发态按照动量本征态展开,动量本征态是连续谱,怎么能用两个分立的动量本征 ...
应该是写错了,动量是连续谱,应该是积分吧
作者: 仰天而泣 时间: 2015-10-4 23:54
看样子应该考上了啊~恭喜!我今年也打算考量子力学~



