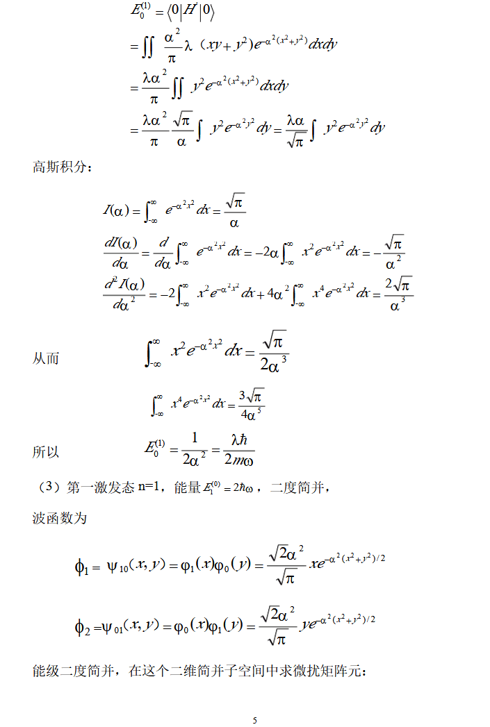
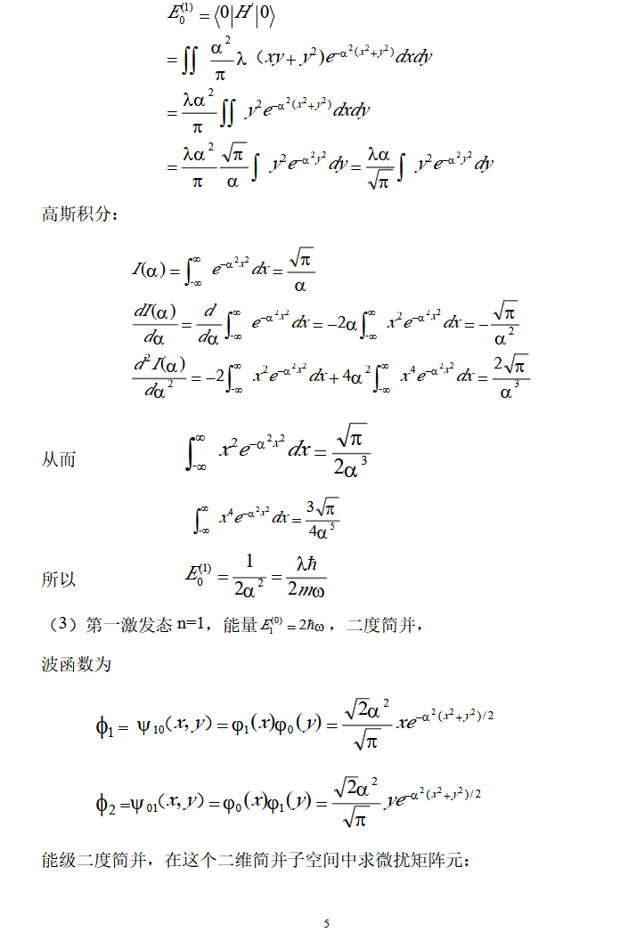
2016年中国科学院大学811量子力学半岛在线注册真题附带详细答案(5)

本站小编 半岛在线注册/2020-01-17


相关话题/中国科学院 量子 力学