- 专业课半岛在线注册资料 本站小编 半岛在线注册 2020-01-16
- 专业课半岛在线注册资料 本站小编 半岛在线注册 2020-01-16
- 专业课半岛在线注册资料 本站小编 半岛在线注册 2020-01-16

作者: 北辰昊轩 时间: 2020-1-13 10:21
标题: 2020长安大学流体力学831回忆版
直接上图了,考完当天回忆的
希望复试自己可以好好发挥,有如神助,顺利上岸
作者: 北辰昊轩 时间: 2020-1-13 10:29
注:19年的流体力学基本全是常规提醒,并没有难题和比较偏知识点的考察,重点内容要重点复习
竟然真的考画图了,还 ...
专业课半岛在线注册资料 本站小编 半岛在线注册 2020-01-13
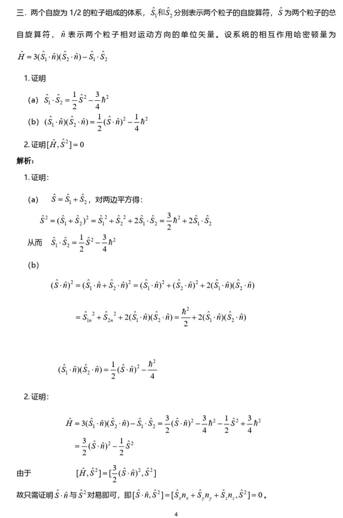
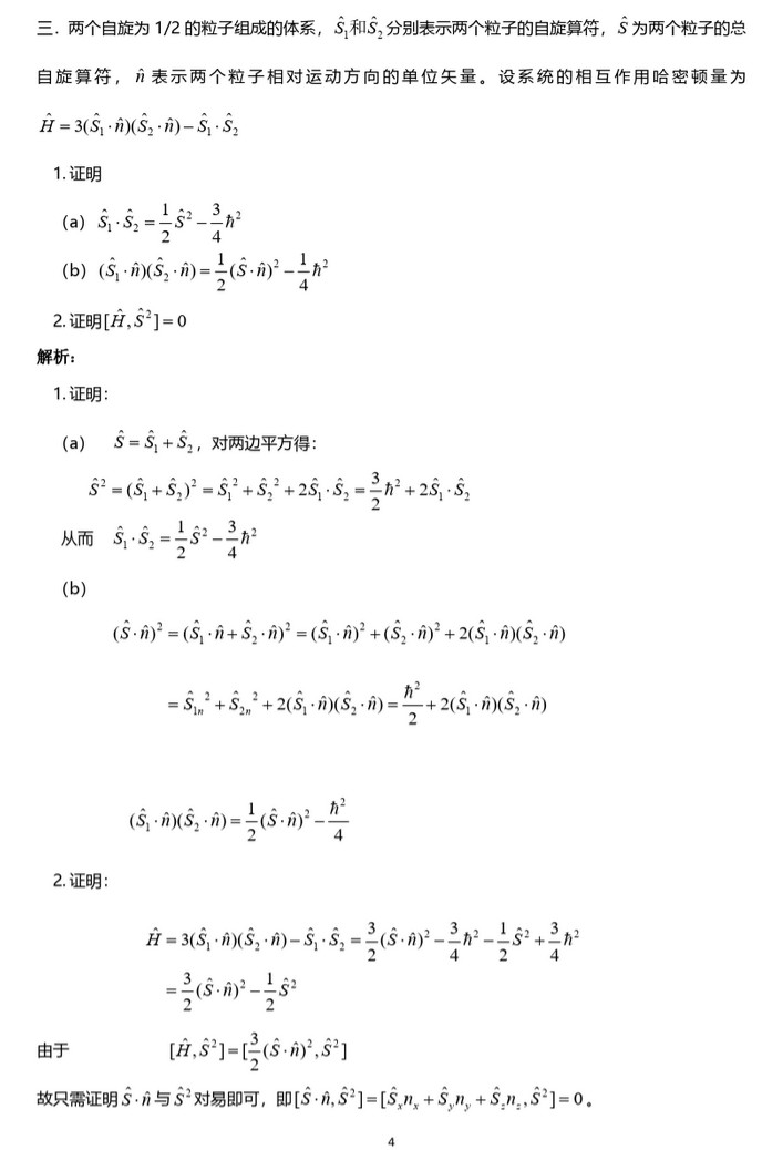
作者: 冰火南北 时间: 2015-2-28 17:46
标题: 2015中科院量子力学(811)答案
个人写的2015中科院量子力学答案,想与大伙交流一下
作者: 冰火南北 时间: 2015-2-28 17:47
作者: olm658 时间: 2015-6-28 22:26
楼主你好,关于第一大题将第一激发态按照动量本征态展开,动量本征态是连续谱 ...
专业课半岛在线注册资料 本站小编 半岛在线注册 2020-01-13- 专业课半岛在线注册资料 本站小编 半岛在线注册 2020-01-09
- 专业课半岛在线注册资料 本站小编 半岛在线注册 2020-01-09
作者: 大脸兔子1 时间: 2020-1-2 15:21
标题: 2020中国地质大学(北京)813土力学(回忆完整版)
一、名词解释(30分)
临界水力梯度
正常固结土
有效应力原理
超细孔隙水压力
渗透固结
干密度
弱结合水
极限平衡法
基底压力
抗剪强度
二、选择题(20分)
1.根据颗粒级配曲线,正确的是()
A.Cu越大土颗粒越均匀 ...
专业课半岛在线注册资料 本站小编 半岛在线注册帮 2020-01-042019年中国海洋大学环境学院考博题
科目:环境工程
专业:环境工程学
1.论述铁的主要沉积岩石的构造与内容
2.环境工程中应该重视什么原则
3.论述地球外部圈层的划分?
4.第四纪以来中国主要发生了哪些造山运动
5.最近几年中地质学技术的应用与发展。
专业:土力学
论述题
1.土地构造力在工程施工 ...
考博 本站小编 半岛在线注册 2019-12-29非常好的材料力学复习习题,集成了各个高校的半岛在线注册真题,Free半岛在线注册独家秘密提供哦,可惜的是没有答案. ...
专业课半岛在线注册资料 本站小编 半岛在线注册 2019-12-29 一、写在前面的话
虽然我不知道谁会读我的文章,但是我敢肯定读过只要能坚持到明年的这个时候,你一定会感慨万千,有和我一样的感受,酸甜苦辣。我就是想说一说我为什么花两天写这个!我整整写了两天,一是应一研学姐之邀请,感谢她的帮助,毕竟她一年耐心指导我也不容易,二是我确实也想帮助下学弟学妹,让你少走弯路。 ...
专业课半岛在线注册经验 本站小编 半岛在线注册 2019-12-28- 专业课半岛在线注册资料 本站小编 半岛在线注册 2019-12-27
2017年微生物学半岛在线注册真题
一、 名词解释
1.三界系统
2.脂多糖
3.周质空间
4.化能异养型
5.代谢组
6.发酵
7.迟效碳源
8.菌核和厚壁孢子
9.特异性免疫
10.单克隆抗体
二、 选择题
1.革兰氏阳性菌不含列哪种成分:细胞外膜。
2.2016年嘴贝尔感学奖:细胞自噬。
3.下列属于微生物的 ...
专业课半岛在线注册资料 本站小编 半岛在线注册 2019-12-27微生物历年名词解释真题
1. 菌体二型性
2. 类病毒(2)(viroid)是一类由一短串(少数机半个碱基)高度 互补、环状、单链RNA构成的,没有衣壳蛋白和典型病毒特征的植物致病因子
3. 一步生长曲线(2)将适量病毒接种于高浓度敏感细胞培养物,待病毒吸附后,或高倍稀释病毒-细胞培养物,或以抗病毒血清处理病毒-细胞 ...
专业课半岛在线注册资料 本站小编 半岛在线注册 2019-12-27
《细胞生物学》复习要点
第一章 绪论
1.1 细胞生物学的主要研究内容及其目前研究的一些重大的研究问题是什么?
1.2 概述细胞学说的主要内容。
1.3 从细胞学发展简史中,你如何认识细胞学说建立的重要意义?
1.4 了解细胞生物学分支学科的主要研究内容。
第二章 细胞的统一性与多样性
2.1 如何理解细胞是生命活动的 ...
专业课半岛在线注册资料 本站小编 半岛在线注册 2019-12-27