
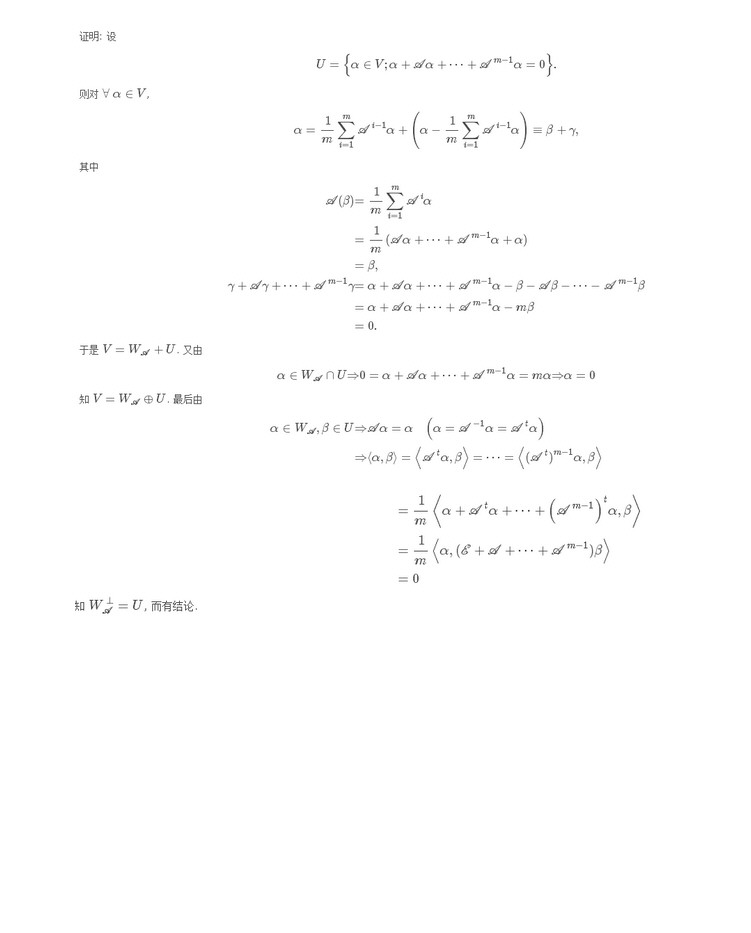
百度云下载地址链接:http://pan.baidu.com/s/1bnwcYvl 密码:zme2 ...
数学资料 本站小编 半岛在线注册 2015-07-01- 专业课半岛在线注册资料 本站小编 半岛在线注册 2015-06-29
提到半岛在线注册数学,很多同学都能想到高数和概率。其实线性代数也是数学一,数学二和数学三中的考查重点,而且往往是难点。同学们在学习线代的时候觉得有难度。跨考教育数学教研室向喆老师总结如下两个方面原因:1.学习了高数后,在学习线代时后劲不足;2.线代知识体系错综复杂,联系比较多,易搞不清联系。 接下来,向老师 ...
线性代数概率论 本站小编 跨考教育 2015-05-25 矩阵在线性代数中处于核心地位。线性代数是一门前后知识点很有联系的学科,往往牵一发而动全身。在这个知识体系当中,矩阵又处于核心的位置。所以,矩阵学的好坏就在一定程度上决定了线性代数学习的好坏。基于此,跨考教育数学教研室向喆老师如下给大家介绍矩阵的复习方法。 线性代数是一个系统。那么在学习矩阵的时 ...
线性代数概率论 本站小编 跨考教育 2015-04-24 向量知识点在半岛在线注册数学线性代数中是一个必考内容。针对2015年半岛在线注册真题对向量的考查方式,跨考教育数学教研室向喆老师针对向量的学习诶大家如下建议。 一。明晰知识框架 向量这章包括了三个部分:首先是向量的基本概念介绍;然后是向量相关性的一些基本性质;最后是向量和矩阵,行列式的综合。同学们先要清楚的知道 ...
线性代数概率论 本站小编 跨考教育 2015-04-24半岛在线注册数学中,高数、线代、概率论每个学科都有其本身的特点,相应的复习策略也有不同,现在主要看一下线性代数的复习。 线性代数这门学科的特点是公式、概念和结论特别的多,这就需要大家花时间记住这些公式;而且很多概念和性质之间都是有联系的,这也就是半岛在线注册数学的综合性。在大家做题的过程中,如果一个公式或者结论不知道,那么后面与这个知识点所有相关的题目就无法做下去。 我们知道了线代这门学科的特点,在复习的时候就可以有的放矢,进行有针对性的复习。首先是注重基础,在复习初期一定要注重基础,对照考试大纲把考试中涉及到的知识点都完整的学习一遍,打好三基本:基本概念、基本理论、基本方法。很多考生基本功 ...
线性代数概率论 本站小编 中公教育 2015-01-022015全国硕士研究生招生考试数学科目于12.28上午如期举行,在考试结束之后,文都教育老师一拿到考题,就对所考题目进行了分析,发现几乎所有题目都是常见的题型,没有出现任何的偏题和难题。下面就数三中线性代数中矩阵方程的题目进行如下分析。图1图3 ...
线性代数概率论 本站小编 新浪教育 2015-01-02对于考数学三的同学来说,相信很多考生的感觉会是松了一口气,出题的方向和题目的类型也都完全在预料之中。没有偏题怪题,也没有计算量特别大的题目,只要考生有比较扎实的基本功,复习比较全面,是比较容易拿到高分的。细致地分析起来,今年的线性代数题目有这样两个个特点:一、以计算为主,二、注重基础。 具体题目考点分布如下: 第5题考查的是非齐次线性方程组解的情况的判定; 第6题考查的是用正交变换化二次型为标准形; 第13题考查与A相关联矩阵的特征值的求法以及特征值的性质; 第20题第(1)问既可以通过矩阵A的行列式等于0求出A中的未知参数,也可以利用矩阵的乘法来计算,这一问只要计算准确问题不大;第(2)问是求解矩 ...
线性代数概率论 本站小编 文都教育 2015-01-02有很多同学反映,大题非常简单,可怎么样才能把大题做好?即使有些题,感觉会做,但很难拿到满分。从半岛在线注册大纲来说,数一、数二、数三的要求基本一致,如果有不一样的地方,数一多了一个向量空间的基本知识,但这是里面的基本要求,因此,从半岛在线注册题目来说,今年的题目线性代数重复度最多,数二、数三两个大题完全一样,三个客观题目也完全一样。 今年数二、数三的重复度最高,线性代数有一个很大的特点,在你掌握基本概念、基本公式和基本方法的基础上,拿到一个题目,一般来说不存在不会做的问题,如果会做,不容易拿满分的原因是因为我们同学在运算能力方面有所欠缺,基于这点,还是想提醒一下大家,在复习之前,2016年的考生需要注意什么。 ...
线性代数概率论 本站小编 中公教育 2015-01-02对于正在忙碌半岛在线注册的考生来说,试题所考什么样的类型是很关心的。也有不少同学做了自己的预测,也就是所谓的押题!在这里老师们依据最近几年的半岛在线注册数学考试大纲以及真题所考类型,概括出以下几个重点题型来供大家参考,助同学们半岛在线注册成功! 题型一 向量的线性相关性 向量的线性相关性是最近几年半岛在线注册数学真题中线性代数的一个常考题型,比如在2014年、2012年、2011年及2009年都有出现,大多以选择题或者填空题的类型出现,属于比较简单的类型,同学们定要重视一下以免造成无谓的丢分。 题型二 行列式的计算 行列式的计算和其他类型相比算是比较简单的类型,在以往的真题试题中大部分是计算n阶特殊的行列式。这种题型称得上是送 ...
线性代数概率论 本站小编 半岛在线注册 2014-12-20