2015半岛在线注册数学(三)线性代数中矩阵方程解析

本站小编 新浪教育/2015-01-02

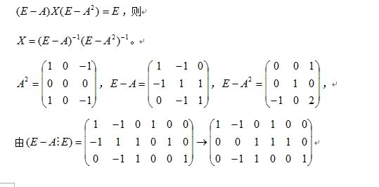
2015全国硕士研究生招生考试数学科目于12.28上午如期举行,在考试结束之后,文都教育老师一拿到考题,就对所考题目进行了分析,发现几乎所有题目都是常见的题型,没有出现任何的偏题和难题。下面就数三中线性代数中矩阵方程的题目进行如下分析。

图1图1
2
图3图3

相关话题/线性代数

  • 领限时大额优惠券,享本站正版半岛在线注册考试资料!
    大额优惠券
    优惠券领取后72小时内有效,10万种最新半岛在线注册考试考证类电子打印资料任你选。涵盖全国500余所院校半岛在线注册专业课、200多种职业资格考试、1100多种经典教材,产品类型包含电子书、题库、全套资料以及视频,无论您是半岛在线注册复习、考证刷题,还是考前冲刺等,不同类型的产品可满足您学习上的不同需求。 ...
    本站小编 Free壹佰分学习网 2022-09-19
  • 2015半岛在线注册数学三线性代数考点汇总:计算为主
    对于考数学三的同学来说,相信很多考生的感觉会是松了一口气,出题的方向和题目的类型也都完全在预料之中。没有偏题怪题,也没有计算量特别大的题目,只要考生有比较扎实的基本功,复习比较全面,是比较容易拿到高分的。细致地分析起来,今年的线性代数题目有这样两个个特点:一、以计算为主,二、注重基础。  具体题目考点分布如下:  第5题考查的是非齐次线性方程组解的情况的判定;  第6题考查的是用正交变换化二次型为标准形;  第13题考查与A相关联矩阵的特征值的求法以及特征值的性质;  第20题第(1)问既可以通过矩阵A的行列式等于0求出A中的未知参数,也可以利用矩阵的乘法来计算,这一问只要计算准确问题不大;第(2)问是求解矩 ...
    本站小编 文都教育 2015-01-02
  • 2015年半岛在线注册数学真题分析——线性代数
    有很多同学反映,大题非常简单,可怎么样才能把大题做好?即使有些题,感觉会做,但很难拿到满分。从半岛在线注册大纲来说,数一、数二、数三的要求基本一致,如果有不一样的地方,数一多了一个向量空间的基本知识,但这是里面的基本要求,因此,从半岛在线注册题目来说,今年的题目线性代数重复度最多,数二、数三两个大题完全一样,三个客观题目也完全一样。  今年数二、数三的重复度最高,线性代数有一个很大的特点,在你掌握基本概念、基本公式和基本方法的基础上,拿到一个题目,一般来说不存在不会做的问题,如果会做,不容易拿满分的原因是因为我们同学在运算能力方面有所欠缺,基于这点,还是想提醒一下大家,在复习之前,2016年的考生需要注意什么。  ...
    本站小编 中公教育 2015-01-02
  • 2015半岛在线注册数学线性代数类型考前预测
    对于正在忙碌半岛在线注册的考生来说,试题所考什么样的类型是很关心的。也有不少同学做了自己的预测,也就是所谓的押题!在这里老师们依据最近几年的半岛在线注册数学考试大纲以及真题所考类型,概括出以下几个重点题型来供大家参考,助同学们半岛在线注册成功!  题型一 向量的线性相关性   向量的线性相关性是最近几年半岛在线注册数学真题中线性代数的一个常考题型,比如在2014年、2012年、2011年及2009年都有出现,大多以选择题或者填空题的类型出现,属于比较简单的类型,同学们定要重视一下以免造成无谓的丢分。  题型二 行列式的计算  行列式的计算和其他类型相比算是比较简单的类型,在以往的真题试题中大部分是计算n阶特殊的行列式。这种题型称得上是送 ...
    本站小编 半岛在线注册 2014-12-20
  • 2015半岛在线注册数学线性代数独家攻略
    2015年半岛在线注册[微博]数学大[微博]纲刚刚发布,新东方在线[微博]全国研究生入学考试研究中心经过仔细研读新大纲,发现2015半岛在线注册数学新大纲整体上没有任何改变。但由于2015年的半岛在线注册时间提前了,各位同学要加快复习的脚步了。其中,线性代数在数一、数二、数三中占据了22%的比重,重要性虽不及高数,但这部分知识点的掌握程度也会直接影响整张试卷的最终成绩,所以希望广大考生要足够重视。   线性代数的考题与高等数学、概率部分考题最大的不同就是,线性代数的一道考题可能会涉及到行列式、矩阵、向量等等很多知识点,这是因为线性代数各个章节知识之间联系非常紧密,知识是一个环环相扣且互相融合的。   1.重视基本概念、夯实基础、举一反三    ...
    本站小编 新东方教育 2014-12-20
  • 2015半岛在线注册数学线性代数之行列式篇
    邵春营数学教研室  冬去春来,随着气温的不断升高,2015的半岛在线注册备战热潮也在不断的攀升,广大考生们已经着手自己 ...
    跨考教育 2014-04-19
  • 近五年半岛在线注册数学线性代数真题考点分析
    2014尚未结束,2015年半岛在线注册战场已然硝烟四起。对即将踏上或者已经走在2015年半岛在线注册路程上的广大考生们献上跨考教育数学教研室为同学 ...
    跨考教育 半岛在线注册 2014-03-19
  • 新东方2013半岛在线注册数学线性代数基础讲义
    新东方2013半岛在线注册数学线代基础讲义.pdf 414ad17c084a23965b9b8f3072208a7e.pdf (2.06 MB) ...
    新东方教育 半岛在线注册 2014-02-26
  • 新东方2013半岛在线注册数学线性代数基础单元测试题及答案
    新东方2013半岛在线注册数学线代基础单元测试题及答案.pdf 613813295e6bab083a07db4057c348e6.pdf ...
    新东方教育 2014-02-26
  • 新东方2013半岛在线注册数学线性代数基础单元测试题
    新东方2013半岛在线注册数学线代基础单元测试题.pdf fbfeeef5d938095e0ec8244c170bcdd9.pdf (739.9 ...
    新东方教育 2014-02-26
  • 2015半岛在线注册数学线性代数备考复习指导
    2014年研究生备考的硝烟正在弥漫,另一场战役已经打响。在半岛在线注册数学的三门课里,线性代数这门课的特点又是什么呢?线性代数这门课 ...
    跨考教育 半岛在线注册 2014-02-17