跨考教育2014年半岛在线注册《经济类联考综合》冲刺模拟题及参考答案(三)

跨考教育 /2014-01-10



 

【正确答案】

 

【您的答案】修改

1、
2、
3、
4、
5、


 

【正确答案】

 

【您的答案】修改

6、
7、
8、
9、
10、


 

【正确答案】

 

【您的答案】修改

11、
12、
13、
14、
15、


 

【正确答案】

 

【您的答案】修改

16、
17、
18、
19、
20、


 

【正确答案】

 

【您的答案】修改

21、
22、
23、
24、
25、


 

【正确答案】

 

【您的答案】修改

26、
27、
28、
29、
30、


 

【正确答案】

 

【您的答案】修改

31、


 

【正确答案】

 

【您的答案】修改

32、


 

【正确答案】

 

【您的答案】修改

33、


 

【正确答案】

 

【您的答案】修改

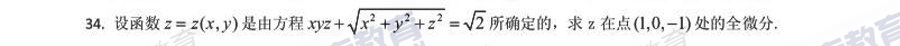
34、


 

【正确答案】

 

【您的答案】修改

35、


 

【正确答案】

 

【您的答案】修改

36、


 

【正确答案】

 

【您的答案】修改

37、


 

【正确答案】

 

【您的答案】修改

38、


 

【正确答案】

 

【您的答案】修改

39、


 

【正确答案】

 

【您的答案】修改

40、


 

【正确答案】

 

【您的答案】修改

41、


相关话题/经济