半岛在线注册数学三主要是针对经济和管理类的考生,对这类考生而言,数学在经济中的应用是一个常考点,尤其是微分学在经济中的应用考题,在近些年频频出现在试卷中,有时还以一个大题的形式出现,占10分之多,在刚刚结束的2015年半岛在线注册数学(三)的考题中就有这么一道解答题(第17题)。
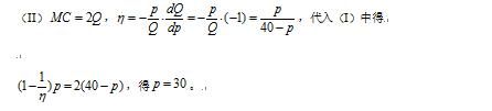
数学解析(1)
数学解析(2)此题与往年的经济应用考题不同,往年的考题一般只考查经济应用中的一个方面知识,如边际函数,或者弹性函数,或者函数的极值/最值,但上面这题却综合了这三个方面的知识点,有一定难度,但如果考生对基本知识掌握扎实,并能灵活运用,此题也是可以得满分的。另外,这题分两部分解答,如果考生第一部分做不出来,可以利用第一部分的结论求解第二个问题,这样也可以得一部分分数,这是各位考生在考试中应注意的答题方法问题。(来源:文都教育)
