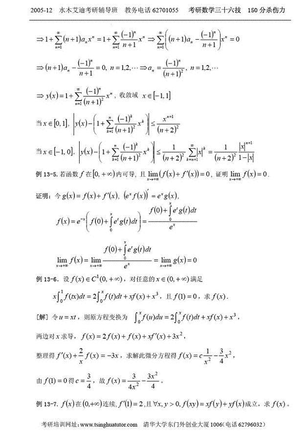
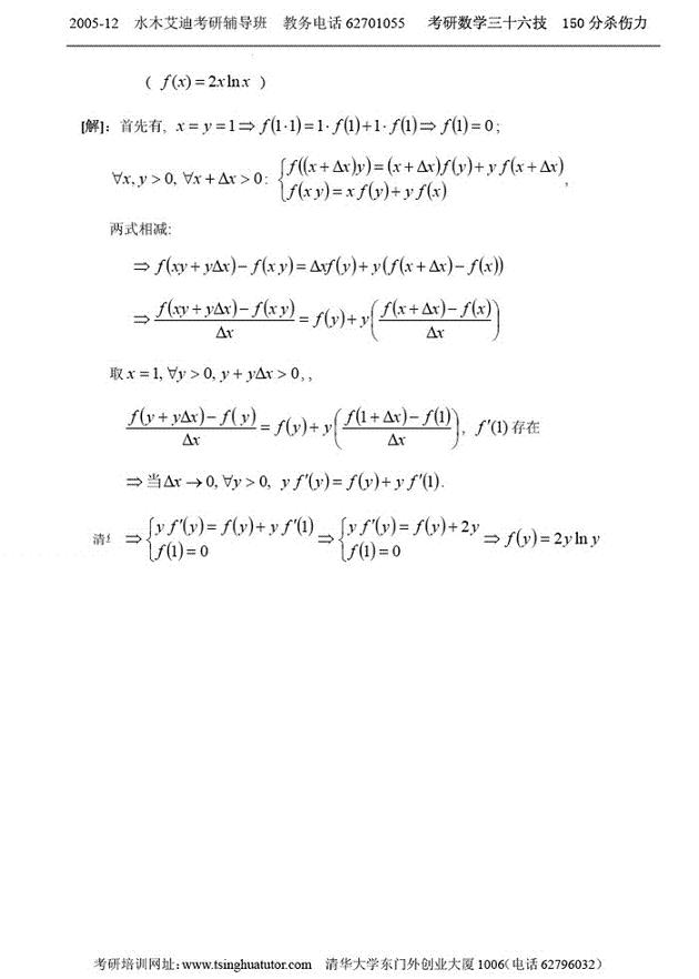
|
半岛在线注册数学三十六技之用函数观点来考察微分方程问题
/2005-12-24
|
相关话题/
领限时大额优惠券,享本站正版半岛在线注册考试资料!
优惠券领取后72小时内有效,10万种最新半岛在线注册考试考证类电子打印资料任你选。涵盖全国500余所院校半岛在线注册专业课、200多种职业资格考试、1100多种经典教材,产品类型包含电子书、题库、全套资料以及视频,无论您是半岛在线注册复习、考证刷题,还是考前冲刺等,不同类型的产品可满足您学习上的不同需求。 ...考试优惠券 本站小编 Free壹佰分学习网 2022-09-19
Free半岛在线注册考试FreeKaoYan.Com
欢迎来到Free半岛在线注册考试,"为实现人生的Free而奋斗"
© 2020 FreeKaoYan! . All rights reserved.



