极限--微积分学能够建立的基础,在我们半岛在线注册数学中也占有非常重要的地位,体现在统计28年半岛在线注册数学的数据,从中看到和极限直接相关的知识点共有7类,每年占10-15分左右,现在,跨考教育数学教研室赵睿老师就极限的相关考点,和大家讨论一下关于极限的学习方法和侧重点。
对于极限,我们分为一元函数的极限和多元函数极限,重点在一元函数极限。
首先,对于极限的定义,是这1、2年的热点,14年15年都考查了关于极限定义的选择题,这也符合大纲中所说的“理解极限的概念”这一要求。对于极限的定义,大纲不要求用它来求极限,只需要理解定义中
的含义。
是指任意小的一个正数,是可以任意选取的一个正数,但一般要求不能选的大于极限的一半或是直接要求在(0,1)之间。做题时,取到合适的值往往是关键点。
其次,对于极限考查的重点还是如何来求极限。我们总结求极限的方法大致有8种,比如等价无穷小代换、两个重要极限、洛必达法则、泰勒公式求极限 等等。在5年前,重点还是如何用洛必达法则求极限,但近几年,重点越来越倾向于用泰勒公式来求极限。用泰勒公式求极限的最大优势,就是把函数转化成多项式 的形式,然后用无穷小的比较,或者“抓大头”的方法来求极限;当然记熟函数的泰勒展开式是前提,大纲要求掌握的由5个函数有
。
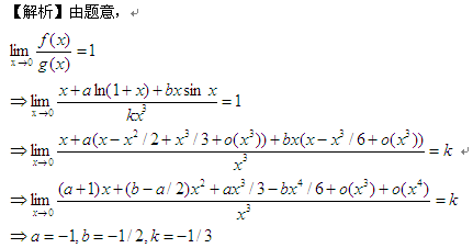
例如:2015年数一(15)题
![]()

此题若用洛必达法则至少用两次,而且还不好计算,用泰勒公式省时又省力。其他求极限的方法,也需要多加练习,才能在考试中游刃有余。
