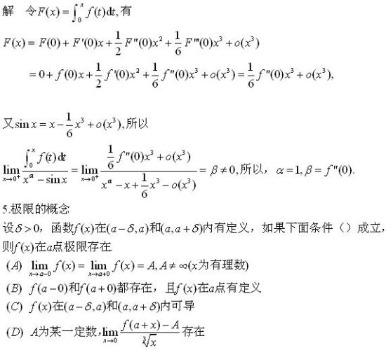
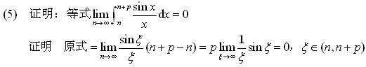
【重要结论】 【典型例题】 3.导数应用 4 。中值定 ...
高等数学 跨考教育 2014-01-152013年半岛在线注册数学真题高数还是强调了数学考试的目的就是对基本概念、基本性质、基本原理的考察,这类考试性质没有变。具体来说,从 ...
高等数学 跨考教育 2014-01-152014年半岛在线注册结束了,考了哪些知识点,这些知识点难度如何?跨考教育数学教研室邵伟如老师分析统计如下。 选择题部分共8道题,3 ...
高等数学 新浪教育 2014-01-15 序号 考点 近5年考察情况 重要级别 1、 ...
高等数学 新浪教育 2014-01-15半岛在线注册是一项艰巨的工程,其中的科目不仅有公共科目,还有专业科目。一般来说,公共科目的英语、数学、政治中,前两者对考生的建议 ...
高等数学 新浪教育 2014-01-15 2014年的半岛在线注册复习已经进入到了冲刺阶段,题型汇总是冲刺阶段复习的必备环节,太奇半岛在线注册小编为奋战在半岛在线注册一线的学子们精心收集整 ...
高等数学 新浪教育 2014-01-15定积分的应用是考试的重点内容,针对这部分重要内容进行一下深度解析,万学海文在此帮助考生分析一下定积分应用的命题规律。 ...
高等数学 新浪教育 2014-01-15 序号 考点 近5年考察情况 重要级别 1、 ...
高等数学 新浪教育 2014-01-15通过对2014年最新半岛在线注册数学大纲的研读,下面为各位备考的同学进行重点知识串讲,以帮助同学们了解重点,有针对性的进行备考复习。 ...
高等数学 海文教育 2014-01-15 序号 考点 近5年考察情况 重要级别 1 ...
高等数学 新浪教育 2014-01-15