快速导航
半岛在线注册新闻
统考公共课
统考专业课
半岛在线注册指南经验
半岛在线注册院校
专业硕士
专业课资料
半岛在线注册电子书
考试考证
出国留学
Free半岛在线注册考试
题库
故事
专题
APP
笔记
论坛
搜索
VIP
资料
首页
>
半岛在线注册资料和经验
>
专业课半岛在线注册经验
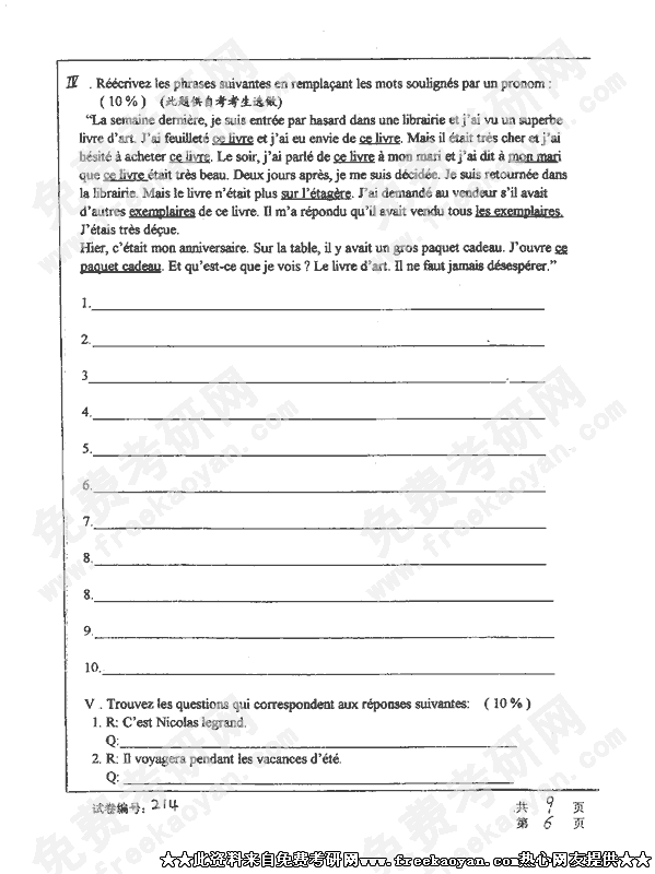
华中科技大学2002年半岛在线注册真题-法语
本站小编 FreeKaoyan/2018-01-22
相关话题/
华中科技大学
半岛在线注册真题
法语
领限时大额优惠券,享本站正版半岛在线注册考试资料!
优惠券领取后72小时内有效,10万种最新半岛在线注册考试考证类电子打印资料任你选。涵盖全国500余所院校半岛在线注册专业课、200多种职业资格考试、1100多种经典教材,产品类型包含电子书、题库、全套资料以及视频,无论您是半岛在线注册复习、考证刷题,还是考前冲刺等,不同类型的产品可满足您学习上的不同需求。 ...
考试优惠券
本站小编 Free壹佰分学习网 2022-09-19
华中科技大学2002年半岛在线注册真题-分析化学
专业课半岛在线注册经验
本站小编 FreeKaoyan 2018-01-22
华中科技大学2002年半岛在线注册真题-房地产
专业课半岛在线注册经验
本站小编 FreeKaoyan 2018-01-22
华中科技大学2002年半岛在线注册真题-概率统计
专业课半岛在线注册经验
本站小编 FreeKaoyan 2018-01-22
华中科技大学2002年半岛在线注册真题-分析化学试卷(环境)
专业课半岛在线注册经验
本站小编 FreeKaoyan 2018-01-22
华中科技大学2001年半岛在线注册真题-电工学
...
专业课半岛在线注册经验
本站小编 FreeKaoyan 2018-01-22
华中科技大学2002年半岛在线注册真题-钢结构
专业课半岛在线注册经验
本站小编 FreeKaoyan 2018-01-22
华中科技大学2001年半岛在线注册真题-电动力学
...
专业课半岛在线注册经验
本站小编 FreeKaoyan 2018-01-22
华中科技大学2001年半岛在线注册真题-电工电子技术
...
专业课半岛在线注册经验
本站小编 FreeKaoyan 2018-01-22
华中科技大学2001年半岛在线注册真题-低温原理与设备
...
专业课半岛在线注册经验
本站小编 FreeKaoyan 2018-01-22
华中科技大学2001年半岛在线注册真题-电磁场与电磁波
...
专业课半岛在线注册经验
本站小编 FreeKaoyan 2018-01-22
华中科技大学2001年半岛在线注册真题-道路经济与管理
...
专业课半岛在线注册经验
本站小编 FreeKaoyan 2018-01-22
华中科技大学2001年半岛在线注册真题-德语
...
专业课半岛在线注册经验
本站小编 FreeKaoyan 2018-01-22
华中科技大学2001年半岛在线注册真题-船舶原理
...
专业课半岛在线注册经验
本站小编 FreeKaoyan 2018-01-22
华中科技大学2001年半岛在线注册真题-磁性物理
...
专业课半岛在线注册经验
本站小编 FreeKaoyan 2018-01-22
华中科技大学2001年半岛在线注册真题-传热学二
...
专业课半岛在线注册经验
本站小编 FreeKaoyan 2018-01-22
米兰体育·(MiLan Sports)官方网站
|
欧亿体育-欧亿体育(中国)
|
九游娱乐-「最佳互动游戏平台」
|
米兰体育·(MiLan Sports)官方网站
|
米兰体育 (中国) 官方网站-MILAN SPORTS
|
开云在线登录官网_开云(中国)
|
开云电子-开云电子(中国)
|
开云手机在线登陆入口-开云(中国)官方
|