一、填空(共 20分,每格0.5分)
• 革兰氏染色法是鉴别细菌的重要方法,染色的要点如下:先用 a 染色,再加 b 处理,使菌体着色,然后用 c 脱色,最后用 d 复染,呈 e 为革兰氏阳性反应。
放线菌菌丝体分为 a 菌丝和 b 菌丝,在无性繁殖中分化为 c , d 和 e 等。 酵母的出芽过程包括:首先在 a 邻近的中心体产生小的突起点,同时细胞 b 向外突出,冒出小芽,然后部分已增大和伸长的 c 、 d 、 e 进入芽内,最后芽细胞从母细胞得到 f 、 g 、 h 、 i 等,与母细胞分离并成为独立的细胞。 将需要某种 a 的微生物先在不含该种 b 的培养基中 c 一段时间,再转达移到 d 培养基中培养,可诱使细胞 e 。 基团移位不同于简单的 a ,它借助于 b 或 c 系统进行输送,而且分别在 d 的基质和 e 在 f 上也有不同。 大多数厌氧菌接触氧后停止活动的可能原因有:缺乏 a 、不能分解 b ,或是不能产生 c ,无法免除氧接受 d 产生的 e 的毒性作用;或是分子氧阻碍了 f 的合成,导致菌体一些重要结构破坏。 菌种保藏温度影响 a 和 b 。斜面保藏于 c ℃时突变的可能性。二、选择题(共 10分,每小题1分)
• 细菌细胞的哪一部分结构与其抗原性相关?
a. 鞭毛 b. 荚膜 c. 芽孢 d. 液泡
鉴定大肠杆菌所用的 IMVPC 方法中 Vp 是指 ____ 试验a. 吲哚 b. 产硫化氢 c. 甲基乙酰甲醇 d. 甲基红
下列微生物中, _____ 属于革兰氏阴性菌a. 大肠杆菌 b. 金黄葡萄球菌 c. 巨大芽孢杆菌 d. 肺炎双球菌
化学消毒剂 _____ 是能损伤细菌外膜的阳离子表面活性剂a. 福尔马林 b. 结晶紫 c. 漂白粉 d. 新洁而灭
光能细菌能从 _____ 等物质取得电子a. H 2 O、CO 2 、H 2 b. H 2 O、H 2 、H 2 S c. H 2 O、O 2 、CO 2 d. O 2 、CO 2 、H 2
采用含 40% 葡萄糖的培养基分离耐高渗透压酵母时, pH 应控制在 ____.a. 2.0-4.0 b. 4.0-6.0 c. 6.0-8.0 d. 8.0-10.0
7.MM培养基是指----培养基
a. 基本 b. 完全 c. 含蛋白胨的 d. 最高
8.分离定律的子二代的性状组合和基因组合分别为____.
a. 1:2:1,3:1 b. 1:3:1,2:1 c. 2:1,1:3:1 d. 3:1,1:2:1
9.具有Killer的酵母菌株_____.
a. 易受毒素感染 b. 能用于酒类的酿造 c. 不能用于酿造 d. 易受野生酵母感染
10.巴斯德灭菌的温度一般控制在_____℃
a. 53-55 b. 63-65 c. 73-75 d. 83-85
三、名词解释(共 25分,每小题5分)
• 伴孢晶体
半知菌 能荷 自由组合定律 完全的 EMP 途径四、问答题(共 30分,每题15分)
• 某一细菌中存在如下的代谢途径:

若要获得末端产物 E的高产菌株,问:
• 应利用怎样的遗传标记?为什么?
应采用怎样的培养基?为什么? 如添加前体 C ,对发酵结果有什么影响?• 某单位保存着一批酵母菌种,包括裂殖酵母、假丝酵母、汉逊酵母、毕赤氏酵母、圆酵母及德巴利酵母,由于标签脱落,需要重新确定各试管中的酵母究竟是哪一种,问可通过怎样的鉴别程序确定?
五、推导题( 15分)
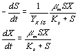
间歇培养某种微生物,得到如下的底物消耗与细胞增长的动力学表达式:

初始条件为: ![]()
解上述常微分方程组,导出 S-t及X-t的解析表达式
