|
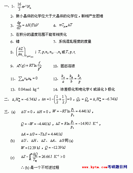
华东理工大学2001年半岛在线注册真题-物理化学
本站小编 FreeKaoyan/2018-01-22
|
相关话题/华东理工大学 半岛在线注册真题 物理化学
华东理工大学2002年半岛在线注册真题-物理化学
专业课半岛在线注册经验 本站小编 FreeKaoyan 2018-01-22上海财经大学1997年半岛在线注册真题-程序设计(PASCAL或C语言)和数据库方法二
专业课半岛在线注册经验 本站小编 FreeKaoyan 2018-01-22上海财经大学1997年半岛在线注册真题-程序设计(PASCAL或C语言)和数据库方法一
专业课半岛在线注册经验 本站小编 FreeKaoyan 2018-01-22上海财经大学1997年半岛在线注册真题-经济学(西方宏观经济学与社会主义政治经济学)
专业课半岛在线注册经验 本站小编 FreeKaoyan 2018-01-22上海财经大学1997年半岛在线注册真题-程序设计C语言
专业课半岛在线注册经验 本站小编 FreeKaoyan 2018-01-22上海财经大学1997年半岛在线注册真题-财务学原理与公司财务
专业课半岛在线注册经验 本站小编 FreeKaoyan 2018-01-22上海财经大学1997年半岛在线注册真题-统计学原理
专业课半岛在线注册经验 本站小编 FreeKaoyan 2018-01-22上海财经大学1997年半岛在线注册真题-财政理论
专业课半岛在线注册经验 本站小编 FreeKaoyan 2018-01-22上海财经大学1997年半岛在线注册真题-财务理论与货币银行学
专业课半岛在线注册经验 本站小编 FreeKaoyan 2018-01-22上海财经大学1997年半岛在线注册真题-进出口业务与国际营销
专业课半岛在线注册经验 本站小编 FreeKaoyan 2018-01-22上海财经大学1997年半岛在线注册真题-货币银行学(货币银行学原理、社会主义货币银行学)
专业课半岛在线注册经验 本站小编 FreeKaoyan 2018-01-22上海财经大学1997年半岛在线注册真题-高等数学一元微积分
专业课半岛在线注册经验 本站小编 FreeKaoyan 2018-01-22上海财经大学1997年半岛在线注册真题-银行经营管理学(银行信贷管理学、银行经营管理学)
专业课半岛在线注册经验 本站小编 FreeKaoyan 2018-01-22上海财经大学1998年半岛在线注册真题-财务学原理与公司财务
专业课半岛在线注册经验 本站小编 FreeKaoyan 2018-01-22上海财经大学1998年半岛在线注册真题-保险学与保险数学
专业课半岛在线注册经验 本站小编 FreeKaoyan 2018-01-22







