|
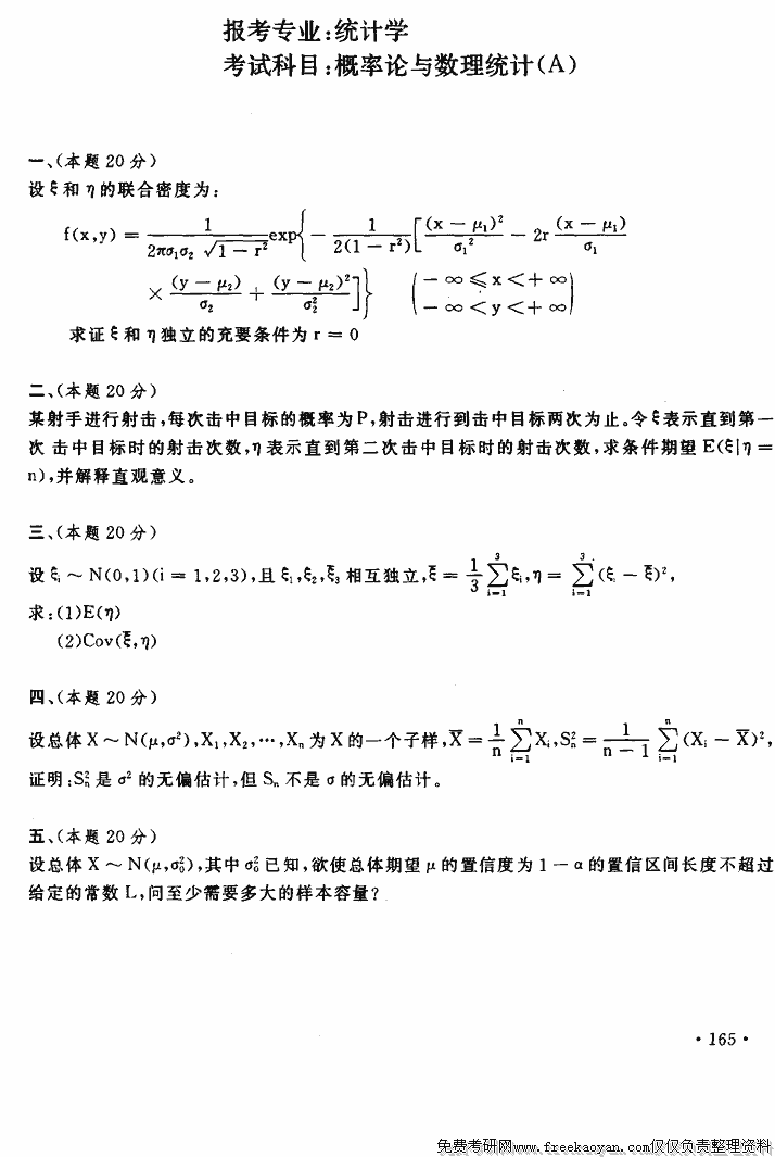
上海财经大学1996年半岛在线注册真题-概率论与数理统计A
本站小编 FreeKaoyan/2018-01-22
|
相关话题/上海财经大学 半岛在线注册真题 概率论与数理统计
上海财经大学1996年半岛在线注册真题-程序设计(PASCAL或C语言)
专业课半岛在线注册经验 本站小编 FreeKaoyan 2018-01-22上海财经大学1996年半岛在线注册真题-概率论与数理统计B
专业课半岛在线注册经验 本站小编 FreeKaoyan 2018-01-22上海财经大学1996年半岛在线注册真题-经济学(西方宏观经济学与社会主义政治经济学)
专业课半岛在线注册经验 本站小编 FreeKaoyan 2018-01-22上海财经大学1996年半岛在线注册真题-程序设计(PASCAL或C语言)和数据库方法
专业课半岛在线注册经验 本站小编 FreeKaoyan 2018-01-22上海财经大学1996年半岛在线注册真题-财政理论
专业课半岛在线注册经验 本站小编 FreeKaoyan 2018-01-22上海财经大学1996年半岛在线注册真题-财务学原理与公司财务
专业课半岛在线注册经验 本站小编 FreeKaoyan 2018-01-22上海财经大学1996年半岛在线注册真题-统计学原理
专业课半岛在线注册经验 本站小编 FreeKaoyan 2018-01-22上海财经大学1996年半岛在线注册真题-财政理论与货币银行学
专业课半岛在线注册经验 本站小编 FreeKaoyan 2018-01-22上海财经大学1996年半岛在线注册真题-进出口业务与国际营销
专业课半岛在线注册经验 本站小编 FreeKaoyan 2018-01-22上海财经大学1996年半岛在线注册真题-货币银行学(货币银行学原理、社会主义货币银行学)
专业课半岛在线注册经验 本站小编 FreeKaoyan 2018-01-22上海财经大学1996年半岛在线注册真题-高等数学一元微积分
专业课半岛在线注册经验 本站小编 FreeKaoyan 2018-01-22上海财经大学1996年半岛在线注册真题-银行经营管理学(银行信贷管理学、银行经营管理学)
专业课半岛在线注册经验 本站小编 FreeKaoyan 2018-01-22上海财经大学1997年半岛在线注册真题-中国经济思想史(古近代)或中国经济史(古近代)
专业课半岛在线注册经验 本站小编 FreeKaoyan 2018-01-22上海财经大学1997年半岛在线注册真题-中国税制和国际税收
专业课半岛在线注册经验 本站小编 FreeKaoyan 2018-01-22上海财经大学1997年半岛在线注册真题-会计学或工业企业管理
专业课半岛在线注册经验 本站小编 FreeKaoyan 2018-01-22

