2018半岛在线注册数学三真题带解析答案完整版(2)

本站小编 半岛在线注册/2018-01-02


相关话题/数学三

  • 领限时大额优惠券,享本站正版半岛在线注册考试资料!
    大额优惠券
    优惠券领取后72小时内有效,10万种最新半岛在线注册考试考证类电子打印资料任你选。涵盖全国500余所院校半岛在线注册专业课、200多种职业资格考试、1100多种经典教材,产品类型包含电子书、题库、全套资料以及视频,无论您是半岛在线注册复习、考证刷题,还是考前冲刺等,不同类型的产品可满足您学习上的不同需求。 ...
    本站小编 Free壹佰分学习网 2022-09-19
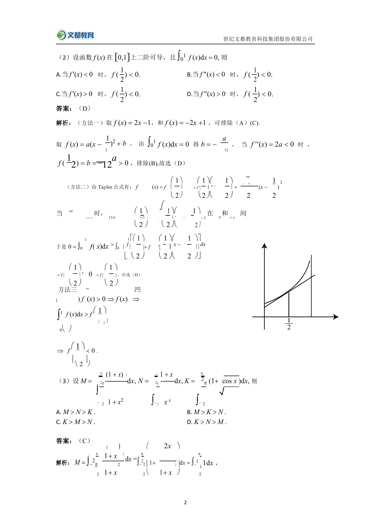
  • 2018半岛在线注册数学三大科目易错点分析
    高等数学1.函数在一点处极限存在,连续,可导,可微之间关系。对于一元函数函数连续是函数极限存在的充分条件。若函数在某点连续,则该函数在该点必有极限。若函数在某点不连续,则该函数在该点不一定无极限。若函数在某点可导,则函数在该点一定连续。但是如果函数不可导,不能推出函数在该点一定不连续,可导与可微等价 ...
    本站小编 半岛在线注册 2018-01-01
  • 2018半岛在线注册数学三微积分复习把握3点原则
    微积分是半岛在线注册数三的必考科目,可谓得微积分者得天下。那么学好微积分有哪几点要注意呢?下文将为你贴心盘点。微积分是经管类专业半岛在线注册同学数学部分必考的科目,它占整个半岛在线注册数学的比例为56%,分值为84分(总分150分)。微积分的基本内容可以分为三大块:一元函数微积分,多元函数微积分(主要是二元函数),无穷级数 ...
    本站小编 半岛在线注册 2018-01-01
  • 2018年与2017年半岛在线注册数学三大纲变化对比
    2018年与2017年半岛在线注册数学大纲变化对比数三 章节 2017年数学考试大纲考试内容和考试要求 2018年数学考试大纲考试内容和考试要求 变化对比 微积分 一、函数、极限、连 ...
    本站小编 辅仁网 2017-10-03
  • 2018年半岛在线注册数学三大纲公布(图片版)
    ...
    本站小编 辅仁网 2017-10-03
  • 2018半岛在线注册数学三大科,应该如何复习
    数学对很多同学来说都是半岛在线注册的难点。半岛在线注册数学主要包含三大科目:高等数学、线性代数、概率论和数理统计。虽然同属于数学这个科目,但是每一个单科都有其相适应的复习重点和方式,这就需要考生在复习的过程中注意对症下药。文都教育今天就给大家分享一下数学三大科,分别应该如何复习。高等数学高数第一章不定式的极限,考生 ...
    本站小编 半岛在线注册 2017-09-18
  • 小学数学三年级下册(北师版)好题集
    下载地址:http://free.100xuexi.com/Ebook/15000.html封面内容简介、编委 下载地址:http://free.100xuexi.com/Ebook ...
    本站小编 福瑞半岛在线注册网 2017-02-05
  • 小学数学三年级北师下册错题集
    下载地址:http://free.100xuexi.com/Ebook/15080.html封面内容简介、编委 下载地址:http://free.100xuexi.com/Ebook ...
    本站小编 福瑞半岛在线注册网 2017-02-05
  • 名师点拨单元测试卷·数学三年级上(BS)
    下载地址:http://free.100xuexi.com/Ebook/74744.html封面目录第一单元测试卷第二单元测试卷第一次月考测试卷第三单元测试卷第四单元测试卷第二次月考测试卷期中测试卷第五单元测试卷第六单元测试卷第三次月考测试卷第七单元测试卷第八单元测试卷第四次月考测试卷分类专项训练( ...
    本站小编 福瑞半岛在线注册网 2017-02-05
  • 名师点拨单元测试卷·数学三年级上(JJ)
    下载地址:http://free.100xuexi.com/Ebook/74756.html封面目录第一单元测试卷第二单元测试卷第一次月考测试卷第三单元测试卷第四单元测试卷第二次月考测试卷期中测试卷第五单元测试卷第六单元测试卷第七单元测试卷第三次月考测试卷第八单元测试卷第四次月考测试卷第九单元测试卷 ...
    本站小编 福瑞半岛在线注册网 2017-02-05
  • 名师点拨单元测试卷·数学三年级上(RJ)
    下载地址:http://free.100xuexi.com/Ebook/74897.html封面目录第一单元测试卷第二单元测试卷第一次月考测试卷第三单元测试卷第四单元测试卷第五单元测试卷第二次月考测试卷期中测试卷第六单元测试卷第七单元测试卷第三次月考测试卷第八单元测试卷第九单元测试卷分类专项训练(一 ...
    本站小编 福瑞半岛在线注册网 2017-02-05
  • 名师点拨单元测试卷·数学三年级上(SJ)
    下载地址:http://free.100xuexi.com/Ebook/74972.html封面目录第一单元测试卷第二、三单元测试卷第一次月考测试卷第四、五单元测试卷第二次月考测试卷期中测试卷第六单元测试卷第七单元测试卷第三次月考测试卷第八、九单元测试卷第十单元测试卷第十一单元测试卷第四次月考测试卷 ...
    本站小编 福瑞半岛在线注册网 2017-02-05
  • 名师点拨单元测试卷·数学三年级上(QD)
    下载地址:http://free.100xuexi.com/Ebook/74791.html封面目录第一单元测试卷(一)第二单元测试卷(二)第一次月考测试卷第三单元测试卷(一)第四单元测试卷(二)第二次月考测试卷期中测试卷一期中测试卷二第五单元测试卷(一)第三次月考测试卷第六单元测试卷第七单元测试卷 ...
    本站小编 福瑞半岛在线注册网 2017-02-05
  • 周考集优测试卷·人教版·数学三年级上
    下载地址:http://free.100xuexi.com/Ebook/75229.html封面目录第一周集优测试卷第二周集优测试卷第一单元集优测试卷第三周集优测试卷第四周集优测试卷第五周集优测试卷第六周集优测试卷第二单元(月考一)集优测试卷第七周集优测试卷第三单元集优测试卷第八周集优测试卷第四、五 ...
    本站小编 福瑞半岛在线注册网 2017-02-05
  • 课时作业·冀教版·数学三年级上
    下载地址:http://free.100xuexi.com/Ebook/75542.html封面目录对称加减法可能性乘除法混合运算周长生活中的大数吨的认识乘法总复习期中测试卷期末测试卷参考答案 ...
    本站小编 福瑞半岛在线注册网 2017-02-05
  • 周考集优测试卷·北师大版·数学三年级上
    下载地址:http://free.100xuexi.com/Ebook/75674.html封面目录第一周集优测试卷小树有多少颗 需要多少钱第二周集优测试卷参观科技馆 植树第三周集优测试卷搭一搭第一二单元(月考一)集优测试卷第四周集优测试卷有多重 一吨有多重第五周集优测试卷搭配中的学问第六周集优测试 ...
    本站小编 福瑞半岛在线注册网 2017-02-05