2018半岛在线注册数学冲刺复习进行中,下面整理分享2018年半岛在线注册数学二冲刺:考试重点及题型总结,帮助大家更好的复习! 章节 知识点 题型 重要度等级 ...
数学指导 本站小编 半岛在线注册 2018-01-012018半岛在线注册数学冲刺复习进行中,下面帮帮为大家整理分享半岛在线注册数学二冲刺,考试重点及题型总结,帮助各位半岛在线注册er更好的复习数学!线代部分半岛在线注册中数一、数二与数三的考察有所差异,针对冲刺阶段数二线代部分同学们应该复习的重点,下面为同学们整理了如下表: 章节 ...
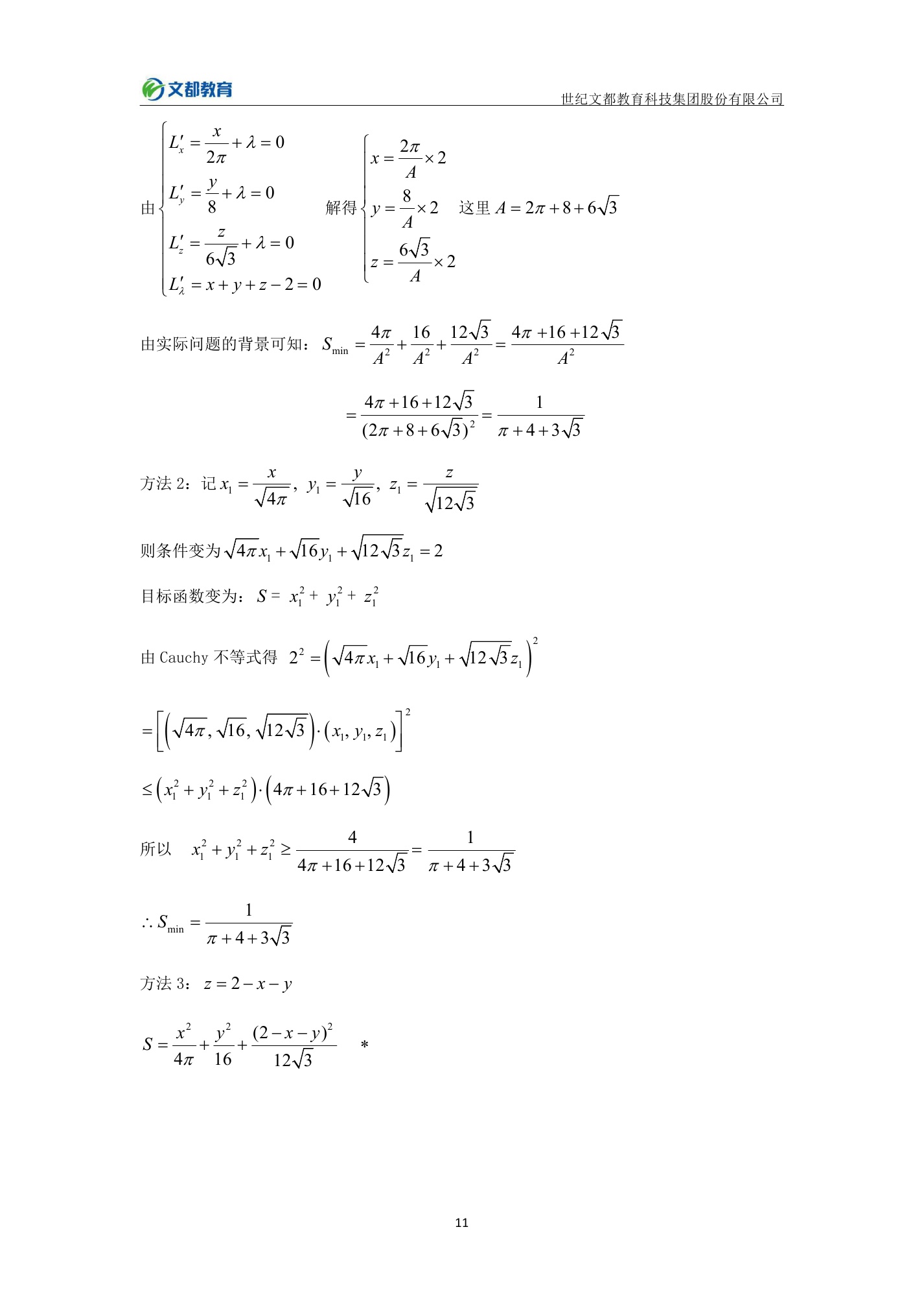
数学指导 本站小编 半岛在线注册 2018-01-01
...
数学大纲 本站小编 辅仁网 2017-10-03 ...
数学大纲 本站小编 辅仁网 2017-10-03数学二考高数和线性代数,不考概率,下文,小编总结了数学二各个科目各个章节的复习重点,18考生复习时多注意!高数第一章 函数、极限、连续等价无穷小代换、洛必达法则、泰勒展开式 求函数的极限函数连续的概念、函数间断点的类型判断函数连续性与间断点的类型第二章 一元函数微分学导数的定义、可导与连续之间的关系 ...
数学指导 本站小编 半岛在线注册 2017-06-08下载地址:http://free.100xuexi.com/Ebook/14998.html封面内容简介、编委 下载地址:http://free.100xuexi.com/Ebook ...
辅导考试半岛在线注册资料 本站小编 福瑞半岛在线注册网 2017-02-05下载地址:http://free.100xuexi.com/Ebook/15076.html封面内容简介、编委 下载地址:http://free.100xuexi.com/Ebook ...
辅导考试半岛在线注册资料 本站小编 福瑞半岛在线注册网 2017-02-05下载地址:http://free.100xuexi.com/Ebook/74723.html封面目录第一单元测试卷第二单元测试卷第一次月考测试卷第三单元测试卷第四单元测试卷第二次月考测试期中测试卷第五六单元测试卷第七单元测试卷第三次月考测试卷第八单元测试卷第九单元测试卷第四次月考测试卷分类专项训练( ...
辅导考试半岛在线注册资料 本站小编 福瑞半岛在线注册网 2017-02-05下载地址:http://free.100xuexi.com/Ebook/74776.html封面目录第一单元测试卷(一)第二单元测试卷(二)第一次月考测试卷第三单元测试卷(一)第四单元测试卷(二)第二次月考测试卷第五单元测试卷期中测试卷第六单元测试卷(一)第七单元测试卷(二)第三次月考测试卷第八单元 ...
辅导考试半岛在线注册资料 本站小编 福瑞半岛在线注册网 2017-02-05下载地址:http://free.100xuexi.com/Ebook/74869.html封面目录第一单元测试卷第二单元测试卷第一次月考测试卷第三、四单元测试卷期中测试卷(一)期中测试卷(二)第五单元测试卷第六单元测试卷第二次月考测试卷第七、八单元测试卷第九单元测试卷第三次月考测试卷分类专项训练一 ...
辅导考试半岛在线注册资料 本站小编 福瑞半岛在线注册网 2017-02-05下载地址:http://free.100xuexi.com/Ebook/74949.html封面目录第一、二单元测试卷第一次月考测试卷第三单元测试卷第四、五单元测试卷第六单元测试卷第二次月考测试卷期中测试卷第七单元测试卷第八单元测试卷第三次月考测试卷第九单元测试卷第十、十一单元测试卷第四次月考测试卷 ...
辅导考试半岛在线注册资料 本站小编 福瑞半岛在线注册网 2017-02-05下载地址:http://free.100xuexi.com/Ebook/75226.html封面目录第一周集优测试卷第一单元集优测试卷第二周集优测试卷第三周集优测试卷第四周集优测试卷月考一集优测试卷第五周集优测试卷第六周集优测试卷第二单元集优测试卷第七周集优测试卷第三单元(月考二)集优测试卷第八周集 ...
辅导考试半岛在线注册资料 本站小编 福瑞半岛在线注册网 2017-02-05下载地址:http://free.100xuexi.com/Ebook/75530.html封面目录测量100以内的加法和减法方向与位置表内乘法(一)角的认识表内除法(一)统计时、分、秒专项训练总复习期中测试卷期末测试卷参考答案 ...
辅导考试半岛在线注册资料 本站小编 福瑞半岛在线注册网 2017-02-05下载地址:http://free.100xuexi.com/Ebook/75672.html目录封面第一周集优测试卷数一数 儿童乐园第二周集优测试卷有几块积木 动物聚会第一单元集优测试卷第三周集优测试卷数果子 摘桃子 做家务第四周集优测试卷需要几个轮子 可爱的青蛙 小熊请客 回家路上第二单元(月考一 ...
辅导考试半岛在线注册资料 本站小编 福瑞半岛在线注册网 2017-02-05下载地址:http://free.100xuexi.com/Ebook/76013.html封面目录一、看魔术乘法的初步认识二、看杂技表内乘法(一)三、小制作角的初步认识四、凯撒学艺表内乘 ...
辅导考试半岛在线注册资料 本站小编 福瑞半岛在线注册网 2017-02-05