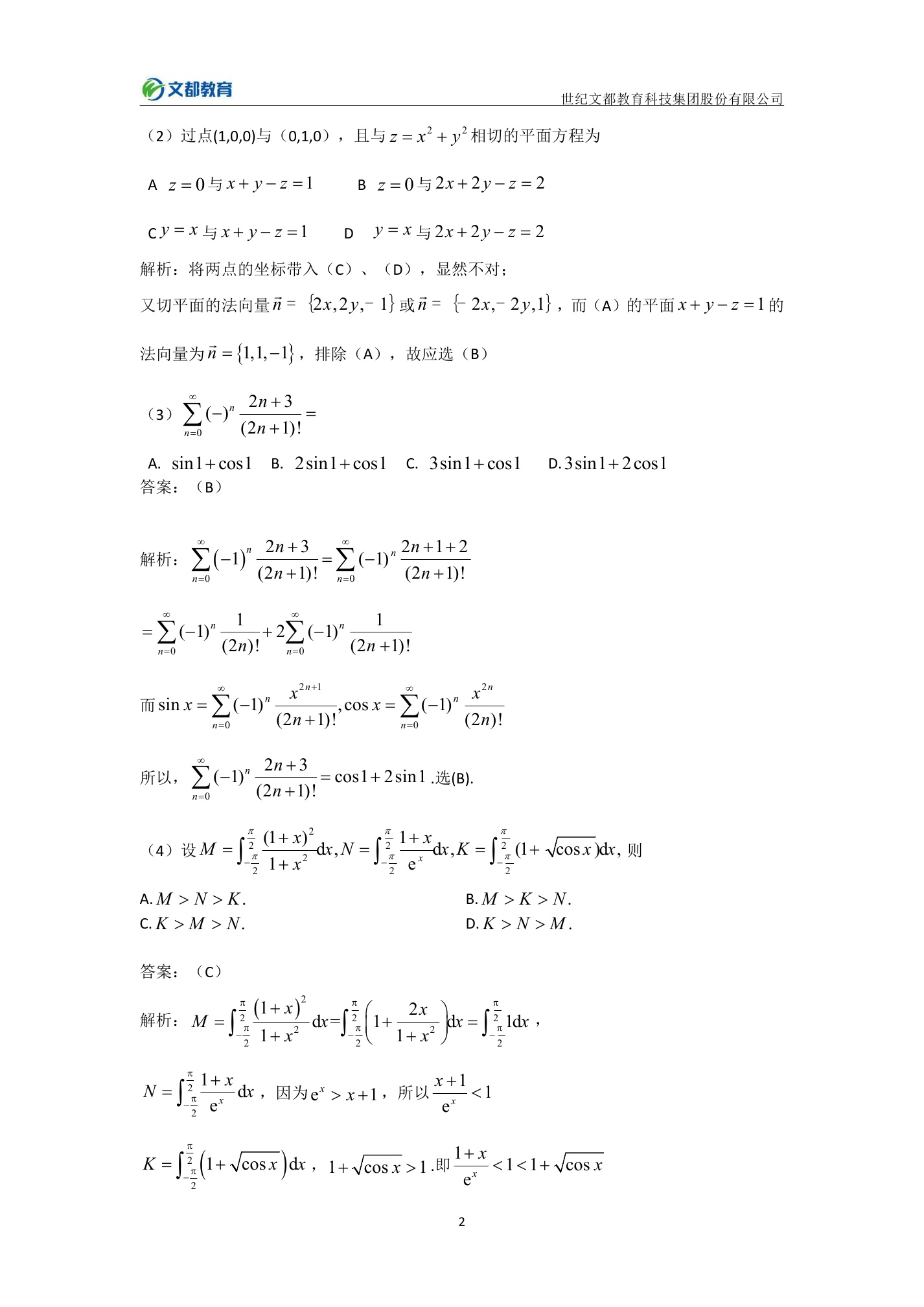
2018半岛在线注册数学一真题带解析答案完整版(2)

本站小编 半岛在线注册/2018-01-02


相关话题/数学一

  • 领限时大额优惠券,享本站正版半岛在线注册考试资料!
    大额优惠券
    优惠券领取后72小时内有效,10万种最新半岛在线注册考试考证类电子打印资料任你选。涵盖全国500余所院校半岛在线注册专业课、200多种职业资格考试、1100多种经典教材,产品类型包含电子书、题库、全套资料以及视频,无论您是半岛在线注册复习、考证刷题,还是考前冲刺等,不同类型的产品可满足您学习上的不同需求。 ...
    本站小编 Free壹佰分学习网 2022-09-19
  • 2018半岛在线注册数学一7个知识点一年一考
    数学一难度最大,考数一的同学你复习的怎么样了?今天给大家整理了数学一一年一考的7个知识点,都来看看你掌握好了吗?一元函数微分学:隐函数求导、曲率圆和曲率半径;一元积分学:旋转体的侧面积、平面曲线的弧长、功、引力、压力、质心、形心等;向量代数与空间解析几何:向量、直线与平面、旋转曲面、球面、柱面、常用 ...
    本站小编 半岛在线注册 2018-01-01
  • 2018年半岛在线注册数学一冲刺:知识模块大总结
    2018半岛在线注册数学冲刺复习进行中,下面为大家整理分享半岛在线注册数学一冲刺必知11大知识模块总结,帮助各位半岛在线注册er更好的复习数学!▲高等数学分为5大知识模块:1、一元微积分学;2、多元微积分学;3、曲线、曲面积分;4、无穷级数;5、微分方程。这里面的曲线、曲面积分是数一的同学特有的,其他内容是所有考数学的同学 ...
    本站小编 半岛在线注册 2018-01-01
  • 2018年与2017年半岛在线注册数学一大纲变化对比
    2018年与2017年半岛在线注册数学大纲变化对比数一   章节 2017年数学考试大纲考试内容和考试要求 2018年数学考试大纲考试内容和考试要求 变化对比 高等数学 ...
    本站小编 辅仁网 2017-10-03
  • 2018年半岛在线注册数学一大纲公布(图片版)
    ...
    本站小编 辅仁网 2017-10-03
  • 2018与2017半岛在线注册数学一考试大纲变化对比:高数部分
    章节 2017年考试数学大纲考试内容和考试要求 2018年考试数学大纲考试内容和考试要求 变化 一、函数、极 ...
    本站小编 辅仁网 2017-10-03
  • 2018半岛在线注册数学一考点解析、必考题型总结
    半岛在线注册数学的卷种分三种,分别为数学一、数学二、数学三。这三个卷中针对的专业不同,须使用数学一的招生专业为工学门类中的力学、机械工程、光学工程、仪器科学与技术、信息与通信工程、控制科学与工程、计算机科学与技术、土木工程、水利工程、测绘科学与技术、交通运输工程、交通运输工程、传播与海洋工程、航空宇航科学与 ...
    本站小编 半岛在线注册 2017-09-18
  • 2018半岛在线注册数学一的各章节知识点
    半岛在线注册数学一有高等数学、线性代数、概率论与数理统计三部分内容。下面就为各位考生预测一下半岛在线注册数学一的高等数学、线性代数、概率论与数理统计三部分中有哪些可能考察的知识点,希望大家重点复习准备。一、高等数学考点函数、极限、连续:(1)无穷小量、无穷小量的比较方法、用等价无穷小量求极限;(2)函数连续性、判别 ...
    本站小编 半岛在线注册 2017-06-08
  • 小学数学一年级下册(北师版)好题集
    下载地址:http://free.100xuexi.com/Ebook/14996.html封面内容简介、编委 下载地址:http://free.100xuexi.com/Ebook ...
    本站小编 福瑞半岛在线注册网 2017-02-05
  • 小学数学一年级北师下册错题集
    下载地址:http://free.100xuexi.com/Ebook/15072.html封面内容简介、编委 下载地址:http://free.100xuexi.com/Ebook ...
    本站小编 福瑞半岛在线注册网 2017-02-05
  • 小学数学一年级上册单元检测卷(配合冀教版最新教材)
    下载地址:http://free.100xuexi.com/Ebook/14992.html封面内容简介、编委 下载地址:http://free.100xuexi.com/Ebook ...
    本站小编 福瑞半岛在线注册网 2017-02-05
  • 名师点拨单元测试卷·数学一年级上(JJ)
    下载地址:http://free.100xuexi.com/Ebook/74711.html封面目录第一单元测试卷第二单元测试卷第一次月考测试卷第三单元测试卷第四单元测试卷第二次月考测试卷第五单元测试卷期中测试卷第六单元测试卷第七单元测试卷第八单元测试卷第三次月考测试卷第九单元测试卷第四次月考测试卷 ...
    本站小编 福瑞半岛在线注册网 2017-02-05
  • 名师点拨单元测试卷·数学一年级上(BS)
    下载地址:http://free.100xuexi.com/Ebook/74643.html封面目录第一、二单元测试第一次月考测试卷第三单元测试卷期中测试卷(一)期中测试卷(二)第四、五单元测试第二次月考测试卷第六单元测试卷第七单元测试卷第三次月考测试卷第八单元测试卷第九单元测试卷第四次月考测试卷分 ...
    本站小编 福瑞半岛在线注册网 2017-02-05
  • 名师点拨单元测试卷·数学一年级上(QD)
    下载地址:http://free.100xuexi.com/Ebook/74767.html封面目录第一单元测试卷(一)第二单元测试卷(二)第一次月考测试卷第三单元测试卷(一)第四单元测试卷(二)第二次月考测试卷期中测试卷第五单元测试卷第三次月考测试卷第六单元测试卷第七单元测试卷第四次月考测试卷第八 ...
    本站小编 福瑞半岛在线注册网 2017-02-05
  • 名师点拨单元测试卷·数学一年级上(RJ)
    下载地址:http://free.100xuexi.com/Ebook/74821.html封面目录第一、二单元测试卷第一次月考测试卷第三单元测试卷第四、五单元测试卷第二次月考测试卷第六单元测试卷期中测试卷(一)期中测试卷(二)第七、八单元测试卷第三次月考测试卷第九单元测试卷第十单元测试卷第四次月考 ...
    本站小编 福瑞半岛在线注册网 2017-02-05
  • 名师点拨单元测试卷·数学一年级上(SJ)
    下载地址:http://free.100xuexi.com/Ebook/74938.html封面目录第一、二单元测试卷第一次月考测试卷第三、四单元测试卷第五、六单元测试卷第七单元测试卷第八单元测试卷第二次月考测试卷期中测试卷一期中测试卷二第九、十单元测试卷第三次月考测试卷第十一、十二单元测试卷第四次 ...
    本站小编 福瑞半岛在线注册网 2017-02-05