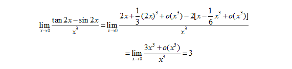
在半岛在线注册数学中,利用等价无穷小替换或泰勒公式来计算极限是常考的考点。然而很多同学对于等价无穷小替换求解极限的运用不够灵活甚至常常犯错。究其原因主要有两个:一是学生平时努力不够,对于常见的等价无穷小没有准确记忆,并且对于此类求极限问题缺少练习;二是对于等价无穷小替换的实质还没有达到透彻的理解,使用的原则存在错记、混记的现象。比如练习时有这样的题目:



在半岛在线注册数学中,利用等价无穷小替换或泰勒公式来计算极限是常考的考点。然而很多同学对于等价无穷小替换求解极限的运用不够灵活甚至常常犯错。究其原因主要有两个:一是学生平时努力不够,对于常见的等价无穷小没有准确记忆,并且对于此类求极限问题缺少练习;二是对于等价无穷小替换的实质还没有达到透彻的理解,使用的原则存在错记、混记的现象。比如练习时有这样的题目:



