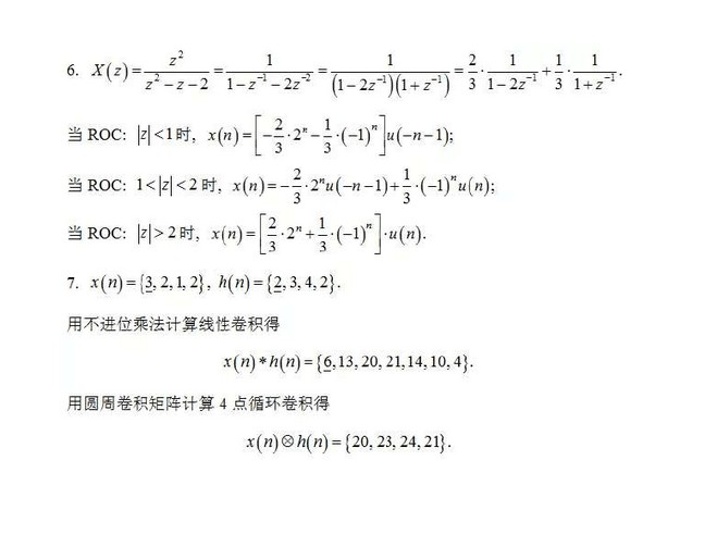
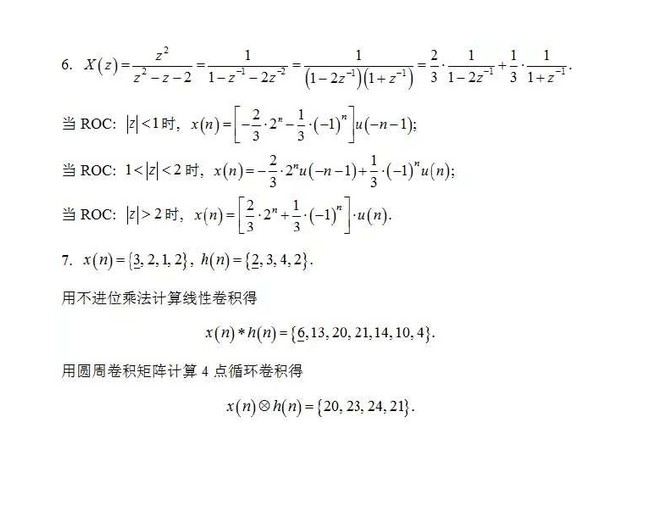
2017西安邮电大学半岛在线注册复试DSP部分试题全解全析(6)
本站小编 半岛在线注册/2020-09-05
相关话题/西安邮电大学
西安邮电大学2014年824信号与系统半岛在线注册真题
专业课半岛在线注册资料 本站小编 半岛在线注册 2020-02-17西安邮电大学2013年824信号与系统半岛在线注册真题
专业课半岛在线注册资料 本站小编 半岛在线注册 2020-02-17西安邮电大学2012年824信号与系统半岛在线注册真题
专业课半岛在线注册资料 本站小编 半岛在线注册 2020-02-17西安邮电大学2011年824信号与系统半岛在线注册真题
专业课半岛在线注册资料 本站小编 半岛在线注册 2020-02-17西安邮电大学2010年824信号与系统半岛在线注册真题
专业课半岛在线注册资料 本站小编 半岛在线注册 2020-02-17西安邮电大学2009年824信号与系统半岛在线注册真题
专业课半岛在线注册资料 本站小编 半岛在线注册 2020-02-17西安邮电大学2008年824信号与系统半岛在线注册真题
专业课半岛在线注册资料 本站小编 半岛在线注册 2020-02-17西安邮电大学2007年824信号与系统半岛在线注册真题
专业课半岛在线注册资料 本站小编 半岛在线注册 2020-02-17西安邮电大学2006年824信号与系统半岛在线注册真题
专业课半岛在线注册资料 本站小编 半岛在线注册 2020-02-172012年西安邮电大学半岛在线注册复试DSP数字信号处理试题答案全
专业课半岛在线注册资料 本站小编 半岛在线注册 2019-11-292011年西安邮电大学半岛在线注册复试DSP数字信号处理试题答案全解全析
专业课半岛在线注册资料 本站小编 半岛在线注册 2019-11-292016西安邮电大学半岛在线注册复试DSP数字信号处理真题答案解析
专业课半岛在线注册资料 本站小编 半岛在线注册 2019-11-292015西安邮电大学半岛在线注册复试DSP数字信号处理真题答案解析
专业课半岛在线注册资料 本站小编 半岛在线注册 2019-11-292016西安邮电大学半岛在线注册复试DSP数字信号处理试题全解全析
专业课半岛在线注册资料 本站小编 半岛在线注册 2019-11-28西安邮电大学经济与管理学院811微观经济学历年半岛在线注册真题汇编
目录封面内容简介目录2011年西安邮电学院811经济学半岛在线注册真题2012年西安邮电学院811经济学半岛在线注册真题2013年西安邮电大学811经济学半岛在线注册真题2014年西安邮电大学811经济学半岛在线注册真题2015年西安邮电大学811微观经济学半岛在线注册真题内容简介本书收录了西安邮电大学经济与管理学院811微 ...辅导考试半岛在线注册资料 本站小编 Free半岛在线注册 2019-10-03

