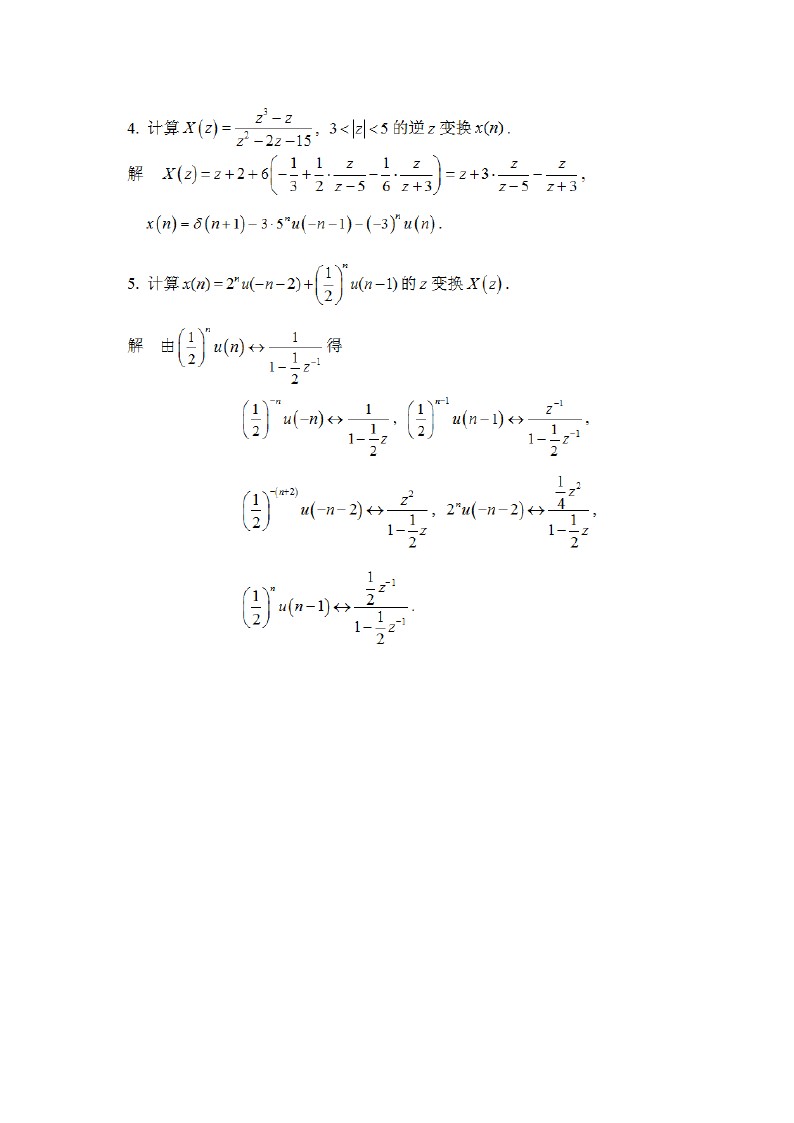
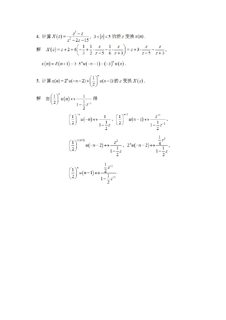
2018四川大学半岛在线注册信号系统951试题全解全析(14)

本站小编 半岛在线注册/2020-09-05


相关话题/四川大学 信号