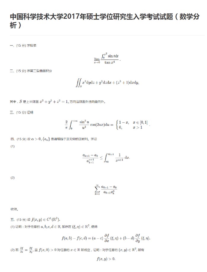
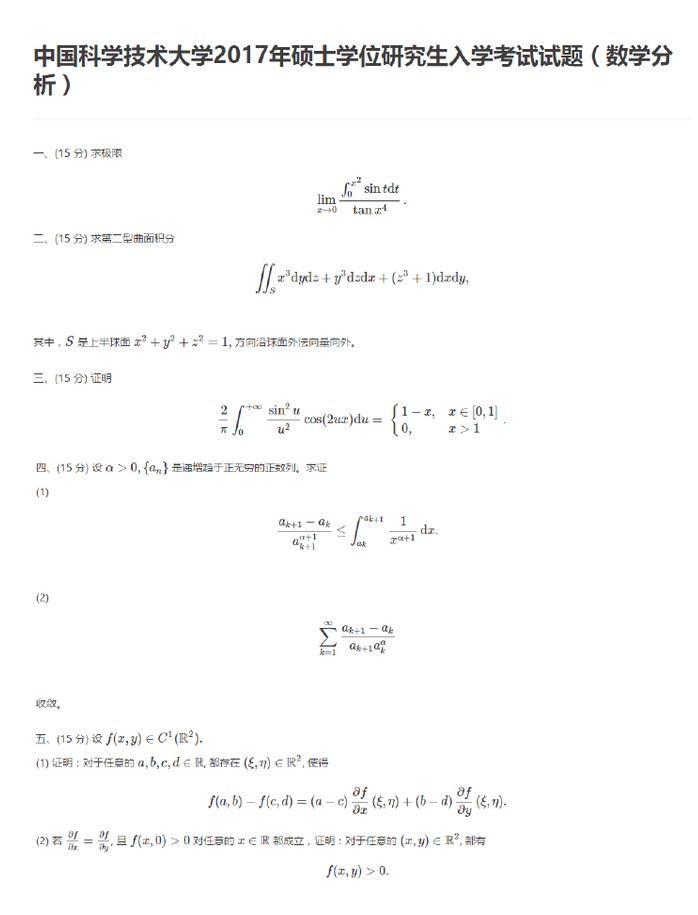
中国科学技术大学2010~2017年数学分析半岛在线注册真题(16)

本站小编 半岛在线注册/2020-04-09


相关话题/中国科学技术大学 数学分析