2015西财应用统计(432)真题回忆版
一.判断题,并说明理由
1.已知总体服从正态分布,样本均值和样本中位数通常不相等。
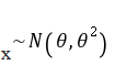
2.已知
,从中抽取一个样本量为40的样本,则样本均值 x
3.给出方差分析结果表,判断组间方差自由度、组内方差自由度、总差异自由度与F值是否正确
4.长期趋势拟合,给出2006-2013的拟合方程,以及第1,2,3季度季节比率,然后判断2014年各季度的趋势值是否正确
5.在其他相同条件下(置信度、总体方差),不重复抽样需要更多抽样数目
6.柱形图和直方图可以显示任何类型的数据
7.结构影响指数越大,对总平均数指数的影响越大,结构影响指数越小,对总平均数指数的影响越小
8.给出甲子公司样本均值、样本标准差和样本数目以及乙子公司样本均值、样本标准差和样本数目,判断总公司均值和标准差
9.给出三个估计量,然后问第二个估计量是否比其他两个更有效。
10.确定必要抽样数目时,总体比率P的选取
二.简答题
11.什么是综合评价、综合评价有哪些局限、为什么要进行指标的同向化和无量纲化处理?
12.四分位差定义、它是哪个平均指标的代表?
13.回归模型的经典假设有哪些、为什么要做这些假设?
14.证明原资料平均法季节比率,
,L为4或12
15.买卖双方协定,产品的优品率高于95%,双方可以达成协议,进行产品质量假设检验时,如果卖方信誉一向很好怎么做出原假设,卖方信誉不是很好又怎么做出原假设
三.计算题
16.给出现价计算的2013和2014产值,平均价格下降3%,总平均劳动量由32000上升到58800,给出其中由于熟练工人比重上升的比率,求企业产值增加以及劳动生产率变化并分析其原因
17.已知n=1800,其中有588人认为重要,
(1)求置信区间
(2)已知
,允许误差0.01,求必要抽样数目;这样抽取是否可行、为什么?
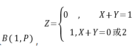
18.已知X和Y相互独立,服从
(1)求Z的分布律
(2)当P为何值时,X和Z相互独立
希望2016年考西财应用统计的同学们也能够把真题回忆出来,为后面的学弟学妹做点贡献。分享是一种快乐。
