科目代码:848 科目名称:道路工程
北京工业大学2013年硕士研究生入学考试试题
一、简要解释下列名词(共计40分,每个名词解释4分)
1.合成坡度
2.设计速度
3.缓和曲线
4.曲线超高
5.附着系数
6.爬坡车道
7.交织运行 8.经济运距
9.路基压实度 10.路基翻浆
二.填空题(共计25分,每空1分)
1、城市道路网的结构型式有(1)、(2)、(3)和(4)四种形式。
2、汽车动力因数是指汽车在(5)、(6)、(7)所具有有效牵引力。
3、单幅路的路拱有(8)、(9)和(10)三种形式。
4、山区按地形布线可能会遇到以下三种线形:(11)、(12)、(13)。
5、公路建设项目一般采用两阶段设计,即(14)和(15)。
6、两个同向圆曲线间(16)时,我们称它为“断(背)臂曲线”,是一种(17)的线形。消灭断(背)臂曲线可采用的方法有(18)、(19)和(20)等等。
7、公路的路基横断面的典型形式有:(21)、(22)和半填半挖路基三种形式。
8、路面结构层次从最上层至路基的次序为(23)、(24)、(25)。
三.选择题(共计10分,每个选择题2分)
1.我国《公路工程技术标准》规定,除可不设缓和曲线外,其余各级公路都应设置缓和曲线。
(A):三和四级公路,(B):四级公路,(C):二级公路
2.我国《公路路线设计规范》规定,当设计速度大于60km/h时,反向曲线间直线最小长度(以m计)以不小于设计速度(以km/h计)的倍为宜。(A):2,(B):3,(C):4
3.道路的坡长是指纵断面上相邻两变坡点之间的长度。
(A):斜线,(B):水平,(C):曲线
4.从土的路用性能来看,粘性土砂性土,粉性土。
(A):优于、劣于,(B):劣于、优于,
(C);优于、优于,(D):劣于、劣于,
5.各种成因的土都可以用石灰来稳定,但实验表明,用石灰稳定的效果显著,强度也高。
(A);砂性土,(B):粘性土,(C):砂砾土
科目代码: 848 科目名称: 道路工程
四.问答题(共计35分,每小题7分)
1.高速公路的出入口处变速车道有哪两种类型?它们各自的作用是什么?
2.道路路肩的作用是什么?
3.平面线形三要素指的是什么?说明各要素的特点。
4.城市道路横断面有哪几种形式,各有什么特点?
5.沿溪线的布局应考虑哪些问题?
五.计算题(共计40分)
1.纵断面图上有一个变坡点,桩号为K8+500.00,高程为105.00m ,i 1=-1.5%,i 2=+2%,竖曲线半径为3000m 。(25分)
(1)曲线是凸型还是凹型竖曲线?
(2)计算竖曲线要素和竖曲线起、终点桩号。
(3)计算竖曲线范围内起点、终点、变坡点的设计高程。
2.某山区二级公路,计算行车速度40km/h 。有一处平曲线,转折点的桩号为K5+125.010,转折角为a=25°01′30″。由于所处地形的关系,要求外矢距不超过3米,要求不采用极限最小半径,其它不受限制。(15分)
(1)请选择合适的平曲线半径和缓和曲线长度,并说明选择平曲线半径及缓和曲线长度时,应作哪些方面的考虑? (2)计算平曲线各要素及ZH 、HY 、QZ 、YH 和HZ 各点的桩号。
根据《公路工程技术标准》规定,提供如下数据:
公路采用双车道路面,停车视距长40m ,极限最小半径60m ,一般最小半径100m ,不设超高最小半径600m ;缓和曲线最小长度35m ;平曲线最小长度可按6秒行程计算。
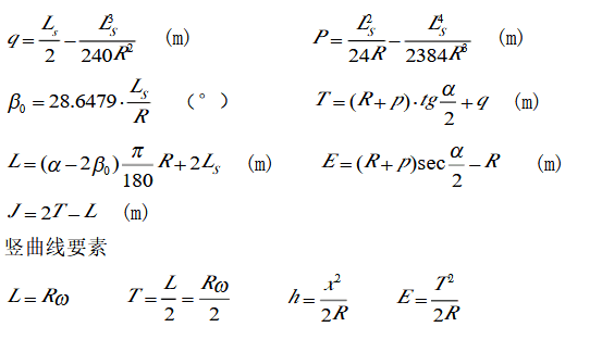
线形设计中,曲线要素计算公式提供如下:
平曲线要素:


