- 专业课半岛在线注册资料 本站小编 半岛在线注册 2020-03-17
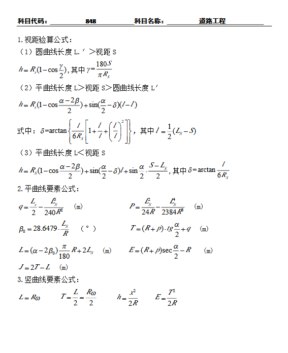
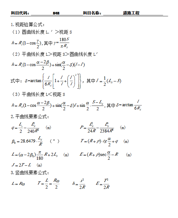
科目代码:848 科目名称:道路工程
北京工业大学2007年硕士研究生入学考试试题
一、简要解释下列名词(共计20分,每个名词解释2分)
1、设计车速
2、道路红线
3、横向力系数
4、缓和曲线
5、爬坡车道
6、纸上定线
7、山脊线 8、路基工作区
9、道路材料劳寿命 10、湿克勒地基模型
二、空题 ...
专业课半岛在线注册资料 本站小编 半岛在线注册 2020-03-17 科目代码:848 科目名称:道路工程
北京工业大学2011年硕士研究生入学考试试题
一、简要解释下列名词(共计:20分,每个名词解释2分)
1.第30位小时交通量
2.道路红线
3.设计速度
4.曲线超高
5.缓和曲线
6.平均纵坡
7.停车视距 8.纸上定线和直接定线
9.路基压实度 10.路面弯沉
二.填空题 ...
专业课半岛在线注册资料 本站小编 半岛在线注册 2020-03-17科目代码:848 科目名称:道路工程
北京工业大学2015年硕士研究生入学考试试题
一、填空题(每空1分,共计25分)
1.各级道路允许的最大纵坡是根据汽车的、道路等级、以及工程和运营经济等因素,通过综合分析确定的。
2.越岭线的展线方式主要有、、和三种。
3.道路是一个三维空间实体,路线是指道路中线的空间 ...
专业课半岛在线注册资料 本站小编 半岛在线注册 2020-03-17编辑 / 本文系@Tuweing突围君的原创撰文 / 突围各专业方向新晋研一宝宝们字数 / 3945字阅读时长 / 10Min原创 / 未经许可不准转载一个人可以过平凡或者贫穷的日子,但不能过内心没有梦想,没有火焰的日子。!○李亚贤姓名:李亚贤;性别:女本科院校:南阳师范学院目标院校:北京工业大学初试总分365分,初试排名第 ...
专业课半岛在线注册经验 本站小编 知乎网 2020-03-10璞琪学长 声明:此分享为个人经验总结,仅供参考,具体事项以学校和学院通知为主。其中,复试笔试的题型考点均为历年来各届学长回忆总结。整理不当之处,敬请见谅,更欢迎大家指出错误并在评论区讨论交流。目录1.复试科目2.复试分数计算3.历年笔试题型考点4.历年面试中文问题汇总5.历年复试线6.准备资料7.注意事项1. 复试科 ...
半岛在线注册复试经验 本站小编 知乎网 2020-03-07
璞琪学长 目录 复习安排 参考资料 考试题型 章节重点 注意事项 个人笔记(重点!重点!重点!)一、复习安排:(1)基础阶段(开始复习-八月)课本一轮,提出重点,构建框架,建立笔记。(2)强化阶段(九月-十月)课本二轮复习,习题训练与讲解,找出易错点,总结答题技巧。(3)冲刺阶段(十一月-十二月 ...
建筑土木笔记 本站小编 知乎网 2020-03-07
璞琪学长 先送上个人笔记,全是干货! 第一章 土木工程材料的基本性质1.密度:是指材料在绝对密实状态下,单位体积的质量2.表观密度:是指材料在自然状态下,单位体积的质量3.堆积密度:是指粉状或粒状材料,在堆积状态下,单位体积的质量;开口+闭口+空隙+实体4.密实度:是指材料的体积内被固体物质充实的程度;5.孔 ...
建筑土木笔记 本站小编 知乎网 2020-03-07
璞琪学长 建筑结构抗震设计知识点总结老规矩,先送上个人复习笔记! 第1章 地震与抗震概论1.我国《建筑抗震设计规范》(GB50011-2001)明确规定:抗震设防烈度为6度及以上地区的建筑,必须进行抗震设计。2.3.4.地球内部断层错动并引起周围介质振动的部位称为震源。震源深度: 从震中到震源的距离震源深度在60公里以内的 ...
建筑土木笔记 本站小编 知乎网 2020-03-07璞琪学长 目录一. 关于学校二. 关于专业课三. 关于方向四. 关于复试五. 关于住宿一、关于学校北京工业大学(Beijing University Of Technology)创建于1960年,是一所以工为主,工、理、经、管、文、法、艺术、教育相结合的多科性市属重点大学(很有钱,被称为北京市的亲儿子)。1996年通过国家211工程预审, ...
半岛在线注册报考信息 本站小编 知乎网 2020-03-07科目代码:849 科目名称:交通工程
北京工业大学2015年硕士研究生入学考试试题
一、名词解释(共30分,每题3分)
1.临界接受间隙
2.车头时距
5.交通事故
4.高峰小时交通量
5.区间车速
6.OD调查
7.交通延误
8.相位差
9.绿灯间隔时间
10.停放车指数
二、叙述题(共50分,每题5分) ...
专业课半岛在线注册资料 本站小编 半岛在线注册 2020-03-05科目代码:849 科目名称:交通工程
北京工业大学2016年硕士研究生入学考试试题
一、名词解释(共30分,每题3分)
1.间断流设施
2.自由流车速
3.高峰小时流量比
4.85%位车速
5.第30小时交通量
6.交通流率
7.饱和车头时距
8.出行
9.设计车速(计算车速)
10.交通延误
二、叙述题(共5 ...
专业课半岛在线注册资料 本站小编 半岛在线注册 2020-03-05
专业课半岛在线注册资料 本站小编 半岛在线注册 2020-03-02- 专业课半岛在线注册资料 本站小编 半岛在线注册 2020-03-01
- 专业课半岛在线注册资料 本站小编 半岛在线注册 2020-03-01