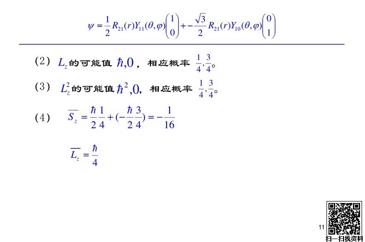
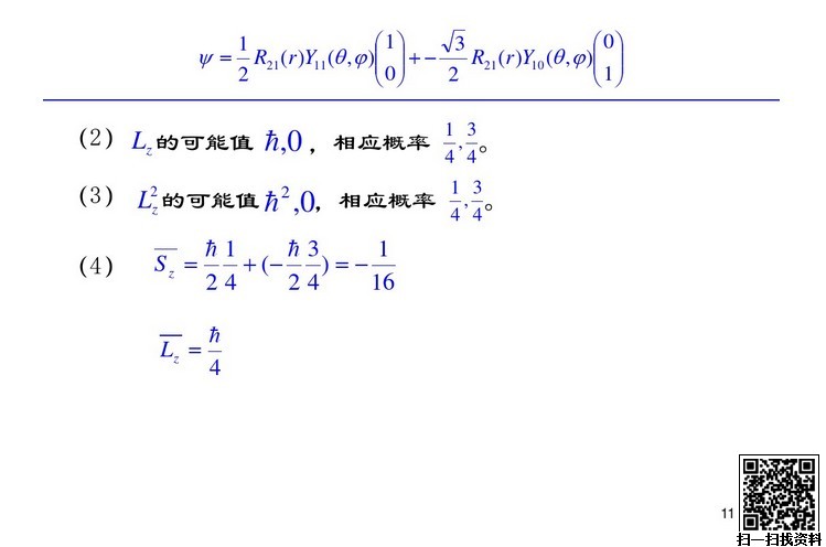
北京理工大学2006年量子力学半岛在线注册试题及答案(11)
本站小编 半岛在线注册/2020-03-04
相关话题/北京理工大学 量子 力学
北京理工大学2008年量子力学半岛在线注册试题及答案
专业课半岛在线注册资料 本站小编 半岛在线注册 2020-03-04北京理工大学2007年量子力学半岛在线注册试题及答案
专业课半岛在线注册资料 本站小编 半岛在线注册 2020-03-042014福州大学结构力学复试试题回忆
首先稍微说下初试的结构力学,题目的话和12年有些类似,选择题5道好像有一些是一样的,判断题没有了,简答题我感觉还是有点难,有一道动力学的等效荷载效应还是什么的我忘了,还有刚架为什么不需要考虑轴向变形之类的。计算题的话有体系的几何组成不难(好像是个瞬变体系),位移计算是一根梁要自己求惯性矩,含温度、荷载等 ...专业课半岛在线注册资料 本站小编 半岛在线注册 2020-03-03北京理工大学考博英语2014年题型2018-2019试题题型概述写作主题
北京理工大学考博英语2019年试题(题型概述+写作主题) 根据考生的回忆,北京理工大学考博英语2019年考试题型、分值分布及写作主题如下。 一、阅读理解 40% 4篇,20题,40分。 二、翻译 40% 英译汉(段落翻译,20分)+汉译英(段落翻译,20分) 三、写作 20% 1篇议论文,20分。 2019年写 ...考博 本站小编 半岛在线注册 2020-03-03北京理工大学2004-2015考博英语试题及答案解析
考博 本站小编 半岛在线注册 2020-03-032009年中南大学量子力学909半岛在线注册试题
专业课半岛在线注册资料 本站小编 半岛在线注册 2020-03-032014年北京化工大学材料力学半岛在线注册真题
专业课半岛在线注册资料 本站小编 半岛在线注册 2020-03-032011年重庆大学921材料力学三半岛在线注册试题
专业课半岛在线注册资料 本站小编 半岛在线注册 2020-03-032016年四川大学833材料力学半岛在线注册真题
专业课半岛在线注册资料 本站小编 半岛在线注册 2020-03-022014年四川大学883化机力学半岛在线注册真题
专业课半岛在线注册资料 本站小编 半岛在线注册 2020-03-022013年北京师范大学959量子力学半岛在线注册真题
专业课半岛在线注册资料 本站小编 半岛在线注册 2020-03-022013年北京工业大学841结构力学半岛在线注册真题
专业课半岛在线注册资料 本站小编 半岛在线注册 2020-03-022012年重庆大学材料力学一846半岛在线注册真题
专业课半岛在线注册资料 本站小编 半岛在线注册 2020-03-012016年南京师范大学量子力学半岛在线注册真题
专业课半岛在线注册资料 本站小编 半岛在线注册 2020-03-012013-2015重庆交通大学材料力学半岛在线注册真题
专业课半岛在线注册资料 本站小编 半岛在线注册 2020-03-01

