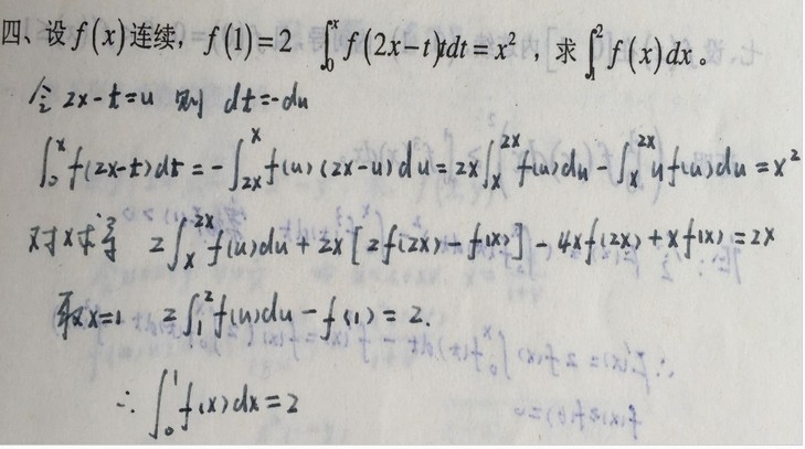
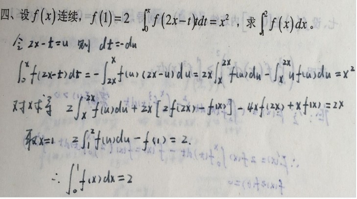
微积分高等数学朱来义版习题册第6章补充题带答案(3)
本站小编 半岛在线注册/2020-02-20
相关话题/积分
微积分高等数学朱来义版习题册第7章补充题带答案
...专业课半岛在线注册资料 本站小编 半岛在线注册 2020-02-20微积分高等数学朱来义版习题册第9-10章补充题带答案
...专业课半岛在线注册资料 本站小编 半岛在线注册 2020-02-20微积分高等数学朱来义版习题册第8章补充题带答案
...专业课半岛在线注册资料 本站小编 半岛在线注册 2020-02-20四川大学690高等数学(微积分、级数)历年半岛在线注册真题汇编
目录封面内容简介目录2012年四川大学690高等数学(微积分、级数)半岛在线注册真题2013年四川大学690高等数学(微积分、级数)半岛在线注册真题2014年四川大学690高等数学(微积分、级数)半岛在线注册真题2015年四川大学690高等数学(微积分、级数)半岛在线注册真题2016年四川大学690高等数学(微积分、级数)半岛在线注册真题 ...辅导考试半岛在线注册资料 本站小编 半岛在线注册 2018-11-30中山大学2007年半岛在线注册真题-一元微积分
专业课半岛在线注册经验 本站小编 FreeKaoyan 2018-01-23中山大学2006年半岛在线注册真题-一元微积分
专业课半岛在线注册经验 本站小编 FreeKaoyan 2018-01-22中山大学2005年半岛在线注册真题-一元微积分
专业课半岛在线注册经验 本站小编 FreeKaoyan 2018-01-22中山大学2004年半岛在线注册真题-一元微积分
专业课半岛在线注册经验 本站小编 FreeKaoyan 2018-01-22重庆大学2000年半岛在线注册真题-电路原理(含积分变换)
专业课半岛在线注册经验 本站小编 FreeKaoyan 2018-01-22上海财经大学1997年半岛在线注册真题-高等数学一元微积分
专业课半岛在线注册经验 本站小编 FreeKaoyan 2018-01-22上海财经大学1998年半岛在线注册真题-高等数学一元微积分
专业课半岛在线注册经验 本站小编 FreeKaoyan 2018-01-22上海财经大学1996年半岛在线注册真题-高等数学一元微积分
专业课半岛在线注册经验 本站小编 FreeKaoyan 2018-01-22上海财经大学1995年半岛在线注册真题-高等数学一元微积分
专业课半岛在线注册经验 本站小编 FreeKaoyan 2018-01-22上海财经大学1994年半岛在线注册真题-高等数学一元微积分
专业课半岛在线注册经验 本站小编 FreeKaoyan 2018-01-222018半岛在线注册高数常考题型:变限积分求极限
下面整理分享2018半岛在线注册高数常考题型:变限积分求极限,帮助大家更好的复习! ...数学指导 本站小编 半岛在线注册 2018-01-01

