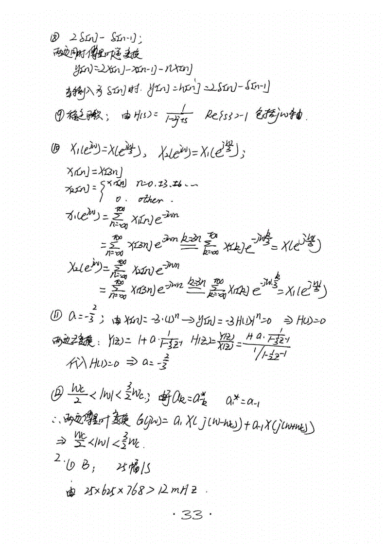
华南理工大学824信号与系统半岛在线注册历年真题答案(手抄版)2005-2016年(35)

本站小编 半岛在线注册/2020-02-20


相关话题/华南理工大学 信号