- 专业课半岛在线注册资料 本站小编 半岛在线注册 2020-02-19
信号与系统一共75分 2014年半岛在线注册分布如下:
第一章 重点是:1.1-1.7
课后习题的重点是:1-2 1-4 1-9 118 1- 20
第二章 重点是:2.1-2.7 会考卷积大题 (15分)
课后练习重点:2-12 2- 14 2- 19 2-20
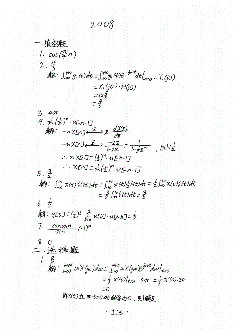
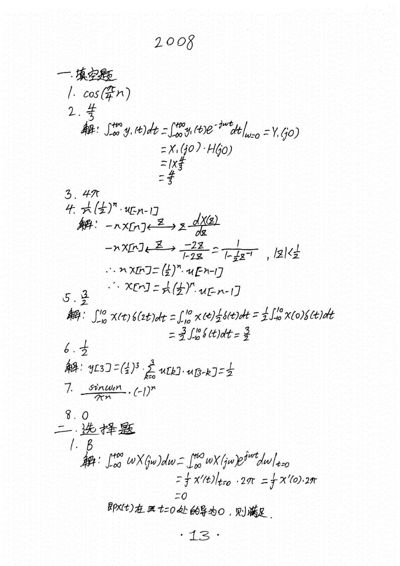
第三章 重点是:傅里叶正逆变换 必考 (正变换5分 逆变换5分)
课后习题重点:3-21 ...
专业课半岛在线注册资料 本站小编 半岛在线注册 2020-02-19- 专业课半岛在线注册资料 本站小编 半岛在线注册 2020-02-19
- 专业课半岛在线注册资料 本站小编 半岛在线注册 2020-02-18
先说说自己的情况吧,初试分数政治 62,英语 74,数学 123,专业课 122。经过复试的洗礼,最大感受就是初试分一定要尽量考高啊,基本上来说刷的大部分都是刚过线的。废话不多说,直接进入正题,说说自己这一路走来的感悟。
Part1.政治
这门课自己考得不是很好,究其原因,很大程度上是自己这门课花费时间较少,基本是从 1 ...
专业课半岛在线注册经验 本站小编 半岛在线注册 2020-02-18本人今年很幸运录取抗干扰,整个过程可以用两个字来形容:虐心。由于复试的一票否决制,复试绝对不能够掉以轻心,不管你初试考了多少分,在复试中有一门没有及格或者分数较低,都意味着有落榜的可能。而且,现在科大的初试和复试比例是 1:1,也就是说就算你初试比人家高了三四十分,复试表现不好,也是白搭。所以,复试的重 ...
半岛在线注册复试经验 本站小编 半岛在线注册 2020-02-18- 专业课半岛在线注册资料 本站小编 半岛在线注册 2020-02-17
- 专业课半岛在线注册资料 本站小编 半岛在线注册 2020-02-17
- 专业课半岛在线注册资料 本站小编 半岛在线注册 2020-02-17
- 专业课半岛在线注册资料 本站小编 半岛在线注册 2020-02-17
- 专业课半岛在线注册资料 本站小编 半岛在线注册 2020-02-17
- 专业课半岛在线注册资料 本站小编 半岛在线注册 2020-02-17
- 专业课半岛在线注册资料 本站小编 半岛在线注册 2020-02-17
- 专业课半岛在线注册资料 本站小编 半岛在线注册 2020-02-17
- 专业课半岛在线注册资料 本站小编 半岛在线注册 2020-02-17