1. 如何消除工频干扰
工频干扰:市电电压的频率为50Hz,它会以电磁波的辐射形式,对人们的日常生活造成干扰,我们把这种干扰称之为工频干扰。
抑制的关键是搞清楚噪声传递方式,是空间辐射还是传导。
①如果50Hz噪声是空间辐射进入的,说明设计存在高阻抗输入点,降低阻抗可能会解决问题;
②如果是传导,需要切 ...
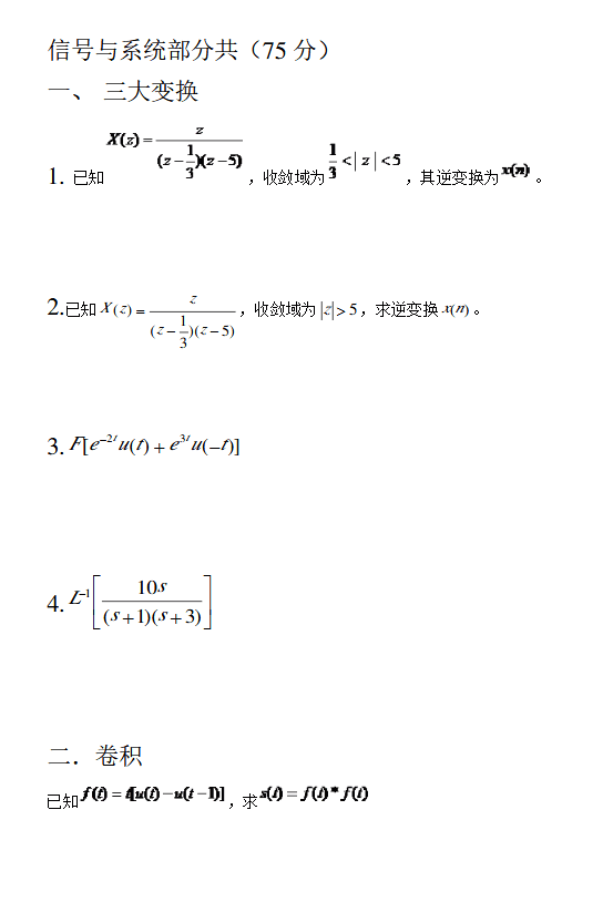
专业课半岛在线注册资料 本站小编 半岛在线注册 2020-02-19信号与系统一共75分 2014年半岛在线注册分布如下:
第一章 重点是:1.1-1.7
课后习题的重点是:1-2 1-4 1-9 118 1- 20
第二章 重点是:2.1-2.7 会考卷积大题 (15分)
课后练习重点:2-12 2- 14 2- 19 2-20
第三章 重点是:傅里叶正逆变换 必考 (正变换5分 逆变换5分)
课后习题重点:3-21 ...
专业课半岛在线注册资料 本站小编 半岛在线注册 2020-02-19- 专业课半岛在线注册资料 本站小编 半岛在线注册 2020-02-19
先说说自己的情况吧,初试分数政治 62,英语 74,数学 123,专业课 122。经过复试的洗礼,最大感受就是初试分一定要尽量考高啊,基本上来说刷的大部分都是刚过线的。废话不多说,直接进入正题,说说自己这一路走来的感悟。
Part1.政治
这门课自己考得不是很好,究其原因,很大程度上是自己这门课花费时间较少,基本是从 1 ...
专业课半岛在线注册经验 本站小编 半岛在线注册 2020-02-18本人今年很幸运录取抗干扰,整个过程可以用两个字来形容:虐心。由于复试的一票否决制,复试绝对不能够掉以轻心,不管你初试考了多少分,在复试中有一门没有及格或者分数较低,都意味着有落榜的可能。而且,现在科大的初试和复试比例是 1:1,也就是说就算你初试比人家高了三四十分,复试表现不好,也是白搭。所以,复试的重 ...
半岛在线注册复试经验 本站小编 半岛在线注册 2020-02-18
刚刚考完,趁还记得住来攒人品,其实只要把在知博书店买的一套资料里的复习全书和半岛在线注册真题两本书里内容参透就没问题了,我觉得。有一道题记不起来请大家见谅。
大题顺序可能不一样一、判断题(2分一个共10道题) 二、填空题(2分一个共10道题)涉及知识点:二进制码转格雷码、给定一个2的n次方time ...
半岛在线注册复试经验 本站小编 半岛在线注册 2020-02-18群里让我写的,想想在半岛在线注册论坛也获得不少帮助这边也发一份,说是经验贴其实是回答几个当时我比较关心的问题
以QA写几个我当时关注的问题
1.Q:数学怎么复习?
A:几本复习全书选一本(我用的李王版),双李版感觉高数部分有些没有意义的难,教材是基础一定要看懂,尤其关于微积分部分的定义,考察的很频繁,课后题有时间就 ...
半岛在线注册复试经验 本站小编 半岛在线注册帮 2020-02-18前面已有一个同学回忆,这次出来成绩了,觉得自己也把自己的一些回忆记录下来吧。半岛在线注册帮上有电工14和15的回忆班复试题,请自己查找。这次复试笔试从已出的成绩来看,对照前两年,题目较难,考的最好的不过180。
填空题,10个,每个3分。前两题是纵向分量和横向分量的关系,题目大概是,横向分量可以全部由纵向分量推出,其 ...
半岛在线注册复试经验 本站小编 半岛在线注册 2020-02-18今年的拟录取结果已经公布了,这两天闲着没事把这次的面试过程大致说一下,不然可能再过段时间就忘了_(:з」)_面试分为英语面试和综合面试,都是分好的小组。然而每个小组的情况也有区别,更不知道明年会不会变按今年的情况看,大家只要能进复试,笔试又能及格,就基本上不会有啥大问题了。
英语面试就在上午考完常 ...
半岛在线注册复试经验 本站小编 半岛在线注册 2020-02-18因为我以前半岛在线注册时也是想尽办法去了解更多的信息 ,心里对当初帮过自己的师兄和师姐充满着感激和感动。故此把自己的一些经验或者历程想和大家分享一下,希望对一些学弟学妹们有用。(若没用,大家忽略即可)
初试我考的不高,又是双非,心里忐忑。特别是联系老师没有回音时,更是着急。 分享如下(个人感想,请勿模 ...
半岛在线注册复试经验 本站小编 半岛在线注册 2020-02-18光电学院,初试330+,低分进复试,现已拟录取,给大家分享下复试经验~
初试出成绩之后一定要联系导师,一定要联系导师,一定要联系导师。
复试分为专业笔试,英语面试,综合面试。
【专业笔试】我选的应用光学,今年应光难出天际,听说固体物理和电路要简单点。首先是三道选择题:(10分/题)
1.给一张图,问像方 ...
半岛在线注册复试经验 本站小编 半岛在线注册 2020-02-18本人是二战,17年差一分,虽然为一分多付出一年,但感觉自己无论是在专业能力还是心态上都有很大进步。在这里想感谢超级好的学姐们,每次有问题都十分耐心地解答。今天我也写下自己的经验,希望帮助更多有读研梦的同学。接下来进入正题。
1、初试分数和复试分数
初试总分381, 其中英语水平测试107,英语文学120,政 ...
半岛在线注册复试经验 本站小编 半岛在线注册 2020-02-18复试刚结束,想着给自己攒点人品,所以写写关于初试的事吧。我是二战科大,一战的时候因为一些原因,九月中下旬才开始准备,时间不是很充分,百科没有准备,政治也没看完,所以成绩不理想,调剂也失败,所以坚定选择了二战。先说说自己的情况,其实参考价值不大,川内某三本外语院校,专四良好专八刚过。
时间安排 ...
半岛在线注册复试经验 本站小编 半岛在线注册 2020-02-18霍夫曼编码
哈夫曼编码(Huffman Coding)是一种编码方式,哈夫曼编码是可变字长编码(VLC)的一种
哈夫曼(Huffman)编码是一种常用的压缩编码方法,是Huffman于1952年为压缩文本文件建立的。它的基本原理是频繁使用的数据用较短的代码代替,较少使用的数据用较长的代码代替,每个数据的代码各不相同。这些代码都是二进制码 ...
专业课半岛在线注册资料 本站小编 半岛在线注册 2020-02-15- 专业课半岛在线注册资料 本站小编 半岛在线注册 2020-02-15