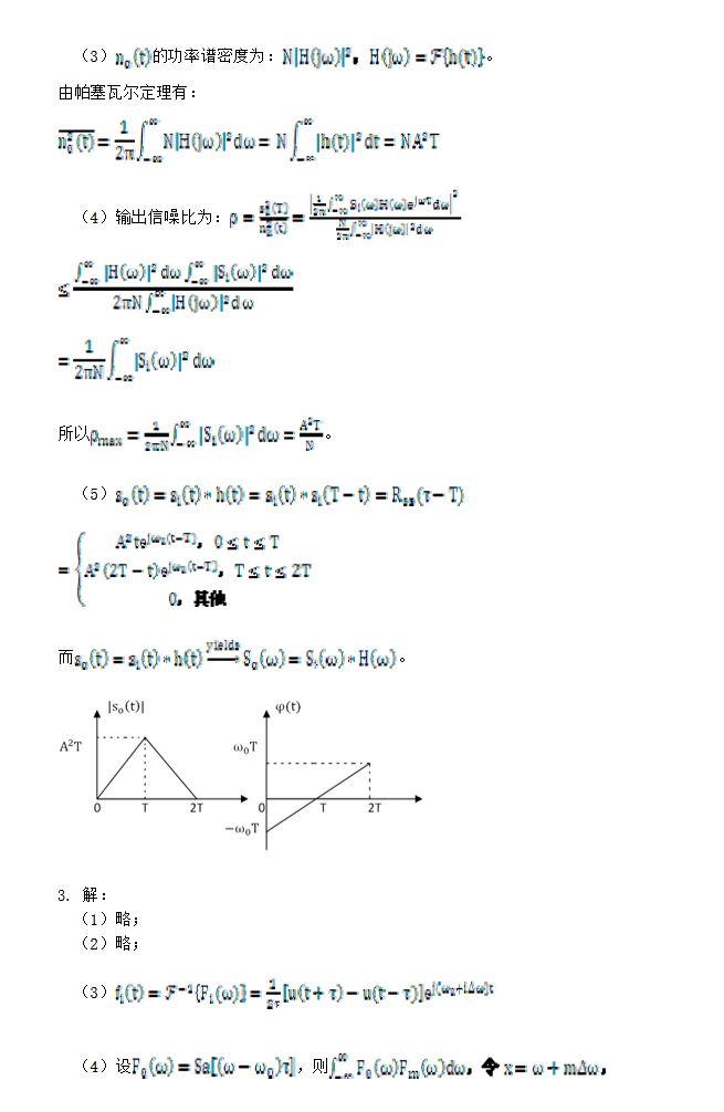
中国科技大学843信号与系统半岛在线注册模拟题二带详细答案(5)
本站小编 半岛在线注册/2020-02-04
相关话题/中国科技大学 信号
中国科技大学843信号与系统半岛在线注册模拟题一带详细答案
专业课半岛在线注册资料 本站小编 半岛在线注册 2020-02-042016云南大学827信号与系统半岛在线注册真题
专业课半岛在线注册资料 本站小编 半岛在线注册 2020-02-042017年云南大学信息学院827信号与系统真题回忆版
专业课半岛在线注册资料 本站小编 半岛在线注册 2020-02-03云南大学2018年827信号与系统半岛在线注册真题考场手抄版
专业课半岛在线注册资料 本站小编 半岛在线注册 2020-02-012011-2015年西北工业大学827信号与系统半岛在线注册真题
专业课半岛在线注册资料 本站小编 半岛在线注册 2020-01-262019四川大学信号与系统半岛在线注册专业课试卷
专业课半岛在线注册资料 本站小编 半岛在线注册 2020-01-09四川大学2018-2019数字信号处理期末试卷A
专业课半岛在线注册资料 本站小编 半岛在线注册 2020-01-09四川大学2018-2019数字信号处理期末试卷B
专业课半岛在线注册资料 本站小编 半岛在线注册 2020-01-09四川大学数字信号处理中文小测试2019含答案
专业课半岛在线注册资料 本站小编 半岛在线注册 2020-01-09四川大学数字信号处理习题补充
专业课半岛在线注册资料 本站小编 半岛在线注册 2020-01-09四川大学数字信号处理中文小测试2018含答案
专业课半岛在线注册资料 本站小编 半岛在线注册 2020-01-092020中国地质大学(武汉)电路,信号与系统半岛在线注册真题
填空题加大题 电路填空题都是那些个基础考点 3道大题,第一题节点电压,第二题平均功率,第三题求平均功率,有效功率,复功率等 信号与系统 填空题大题,基本都是三大变换,卷积 ...专业课半岛在线注册资料 本站小编 半岛在线注册 2020-01-012020厦门大学847信号与系统半岛在线注册试卷回忆版
专业课半岛在线注册资料 本站小编 半岛在线注册 2019-12-282010年成都电子科技大学836信号与系统和数字电路半岛在线注册真题及答案
专业课半岛在线注册资料 本站小编 半岛在线注册 2019-12-13信号与系统半岛在线注册知识点大串讲
专业课半岛在线注册资料 本站小编 半岛在线注册 2019-12-09

