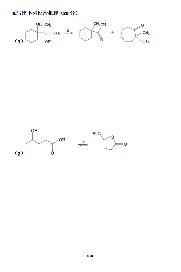
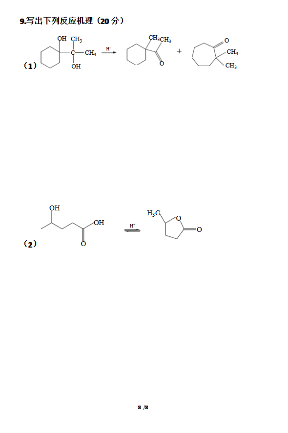
东北师范大学2010年有机化学半岛在线注册真题(8)

本站小编 半岛在线注册/2020-01-25


相关话题/东北师范大学 化学

  • 领限时大额优惠券,享本站正版半岛在线注册考试资料!
    大额优惠券
    优惠券领取后72小时内有效,10万种最新半岛在线注册考试考证类电子打印资料任你选。涵盖全国500余所院校半岛在线注册专业课、200多种职业资格考试、1100多种经典教材,产品类型包含电子书、题库、全套资料以及视频,无论您是半岛在线注册复习、考证刷题,还是考前冲刺等,不同类型的产品可满足您学习上的不同需求。 ...
    本站小编 Free壹佰分学习网 2022-09-19
  • 东北师范大学2009年有机化学半岛在线注册真题
    本站小编 半岛在线注册 2020-01-25
  • 东北师范大学2008年有机化学半岛在线注册真题
    本站小编 半岛在线注册 2020-01-25
  • 东北师范大学2012年有机化学半岛在线注册真题
    本站小编 半岛在线注册 2020-01-25
  • 东北师范大学教育学半岛在线注册经验贴
    作者: 我就叫排骨了 时间: 2020-1-23 10:48 标题: 东北师范大学教育学半岛在线注册经验贴 一.首先介绍一下我的个人情况,便于学弟学妹们进行参考判断:本科二本,19跨考教育学,目前研一英语专业,政治:70分,英语一:68分,教育学综合(628):207分 二. 其次是各科的复习流程: ⒈政治:暑假开始即可,先复习选择题,后期 ...
    本站小编 半岛在线注册帮 2020-01-23
  • 东北师范大学2019年汉语国际教育硕士半岛在线注册试题回忆版
    东北师范大学2019年硕士研究生入学考试试卷(回忆版) 一、名词解释 1.社会方言 五、论述题 根据下列例句分析句式的语义,语用特点,构成以及应用条件。 2.饭让弟弟吃光了。 3.自行车给他骑走了。 东北师范大学2019年硕士研究生入学考试试卷(回忆版) 一、名词解释 1.认知法 2.学习策略 五、 分析下列偏误 ...
    本站小编 半岛在线注册 2020-01-16
  • 2020年东北师范大学学科语文半岛在线注册复试经验
    一、必须要知道的 10-18年东师学科语文复试都是笔试,综合面试(说课),英语口试三部分,另外还有资格审查和体检,2019年开始形式变了,变为笔试,综合面试(朗读,板书,模拟课堂教学),2020年复试形式暂时还不知道,但参照19年的可能性更大,好了下面逐一给大家说说各项如何准备。 二、笔试 笔试往年考的更多 ...
    本站小编 半岛在线注册 2020-01-16
  • 上海大学2020化学半岛在线注册经验分享
    一.物理化学:参考书用傅献彩两本书+配套的学习指导 多准备点A4纸,课后习题来回刷个2-3遍,书上思考题也做一做可以检测你学漏的知识点,学习指导的自测题也做,其他的资料真的不需要了。做完这些之后一定要看书本的二级标题然后总结每章的知识搭起来框架。 今年题型:选择 简答 计算 胶体化学表面化学涉及的内容少,主要 ...
    本站小编 半岛在线注册 2020-01-15
  • 东北师范大学学科语文拟录取经验帖
    在紧张激动的日子后,逐渐的平静了下来,拟录取后的这些日子,我至今还是感觉自己如同梦境一般。终于走过了那段艰苦的岁月,所以静下心来也想写一些自己半岛在线注册经验的总结,以此来给20年的学弟学妹们一些忠实的建议。 一、选择学校 选学校是最为首要的任务,因为它决定了你努力的方向和目标。19年注定是半岛在线注册历史上最具有传奇 ...
    本站小编 半岛在线注册 2020-01-15
  • 中国海洋大学食品半岛在线注册生物化学2019-2019真题
    2019年 一、填空 1、维生素A是( )类化合物,维生素C是( )类化合物,维生素D是( )类化合物 2、生物合成所需要的能量主要是由三羧酸循环和氧化磷酸化产生,还原力主要是由( )途径产生。 3、肽和蛋白质的特征颜色反应是( ) 4、精氨酸的PK1(COOH)=2.17,PK2(NH3)=9.04,PK3(胍基)=12.8,则 ...
    本站小编 半岛在线注册 2020-01-15
  • 中国农业大学半岛在线注册生物化学97-10年真题
    根据前面发帖人的信息,整理真题97-10年的。希望对后来人有所帮助。 2019年生物化学 一、名词解释(每题3分,共30分) 1 操纵子 2 反馈抑制 3 密码子的简并性 4 蛋白质四级结构 5 盐析 6 碱性氨基酸 7 Z-DNA 8 ATP 9 核苷磷酸化酶 10 磷酸果糖激酶 二、填空(每空1分,共28分) 1 DNA损 ...
    本站小编 半岛在线注册 2020-01-15
  • 三跨东北师范大学小学教育半岛在线注册经验
    我本科是山东普通的一所二本学校,学的是并不好就业的专业,我是大三的下学期开始有半岛在线注册的打算,机缘巧合下,了解了东师,逐渐的喜欢上了东师,东师是教育部直属的学校,以后当老师选东师是个不错的选择。下面我将分科目介绍我的经验。 我的冲刺阶段作息时间: 6:00起床 6:30-7:50吃饭、背单词、作文 8:00-11:30背333 ...
    本站小编 半岛在线注册 2020-01-14
  • 东北师范大学教育专硕经验贴(小学教育)
    政治英语333课程与教学论的经验都有哦~ #关于选择院校和专业方面# 在选择院校和专业方面,一定不要矜持,要疯狂的、尽可能的向学长学姐们打听各方面消息,比如报录比、考试难度、对本科院校有没有要求、对四六级有没有要求等等各个方面,越详细越有利于后期准备。 就我知道的而言,6所里每 ...
    本站小编 半岛在线注册 2020-01-14
  • 东北师范大学小学教育经验分享背诵方法
    大家好,我是考小学教育的学姐,2020半岛在线注册结束了,首先最重要的我想告诫2021届的学弟学妹,我们可以咨询学长学姐学习方法,但是不要看一些毒鸡汤三个月考上了,四个月考上了,首先我们要认清自己,自己是不是学霸,自己的基础是不是很好,自己抗压能力怎么样,如果你在后半年开始 ...
    本站小编 半岛在线注册 2020-01-14
  • 2020届江南大学801生物化学半岛在线注册真题回忆
    名词解释:酮体 戊糖磷酸途径 尿素循环 简述题 1. 乳糖操纵子模型并解释为什么乳糖和葡萄糖一起优先利用葡萄糖 2. 3磷酸甘油酸和丙氨酸彻底氧化过程和释放能量有什么不同 3. 肌肉中和肝脏中的NADH穿梭到线粒体的过程和能量有什么不同 4. 减肥的人为什么不能摄入太多碳水化合物 5. 脂肪氧化和合成的比较 6. 阳离子 ...
    本站小编 半岛在线注册 2020-01-14
  • 东北师范大学学科化学经验贴
    作者: 碩碩吖吖 时间: 2020-1-10 21:02 标题: 东师学科化学经验贴 一、英语 1单词:恋恋。推荐方法:先看一遍单词讲解,然后自己把例句尝试翻译,解析句子,最后听句子讲解。 这个过程可能会有点痛苦,但坚持下来进步飞快,学姐亲测有效。 2阅读: ①唐迟老师讲解阅读会有很多的方法和技巧,他的阅读 ...
    本站小编 半岛在线注册帮 2020-01-14