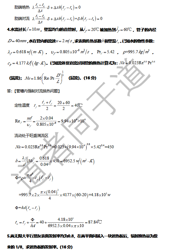
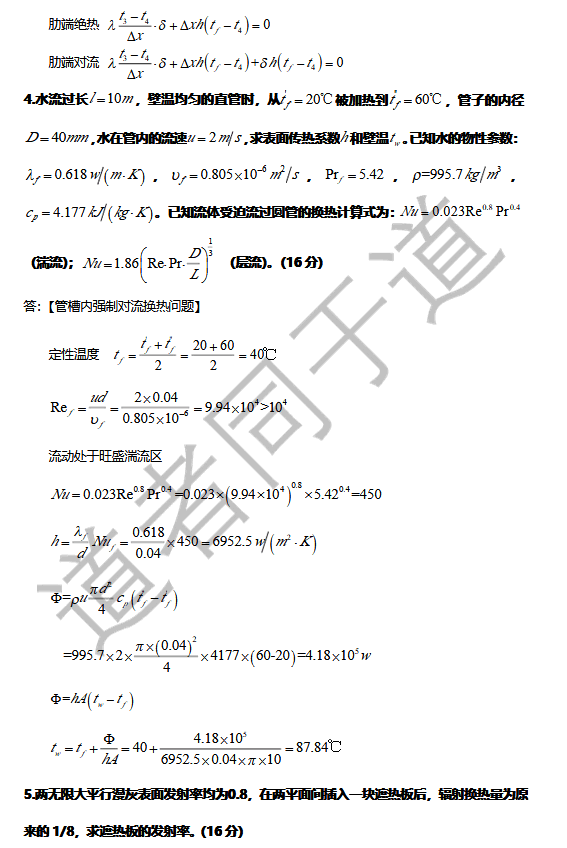
2017年大连理工大学843传热学半岛在线注册试题答案解析(5)

本站小编 半岛在线注册/2020-01-15


相关话题/大连理工大学 传热