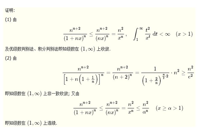
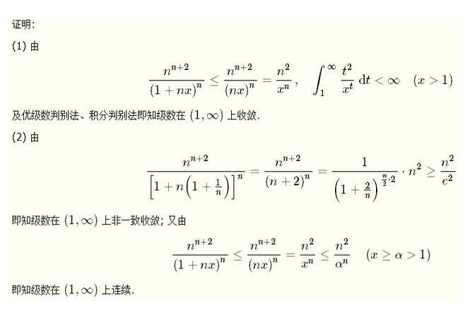
武汉大学2014年数学分析半岛在线注册真题及解答(7)

本站小编 半岛在线注册/2019-12-29


相关话题/武汉大学 数学分析