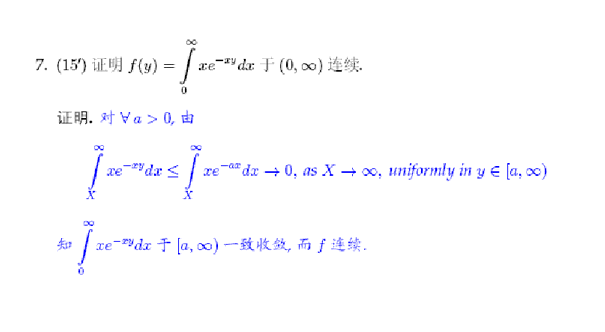
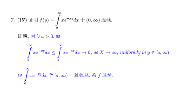
南开大学2000-2010年数学分析半岛在线注册试题解答(12)

本站小编 半岛在线注册/2019-12-16


相关话题/南开大学