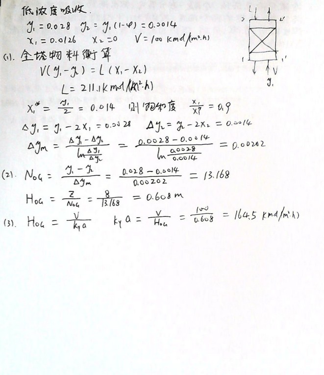
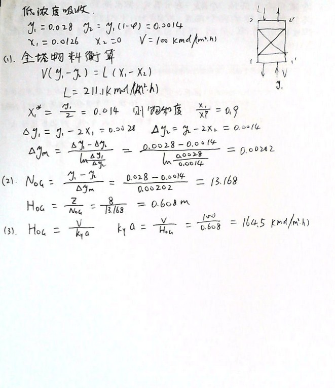
中国矿业大学1999-2012年化工原理半岛在线注册真题答案(54)
本站小编 半岛在线注册/2019-12-14
相关话题/中国矿业大学
中国矿业大学2011年物理化学半岛在线注册真题
专业课半岛在线注册资料 本站小编 半岛在线注册 2019-12-14中国矿业大学2006-2007年化工原理试卷带详细答案
专业课半岛在线注册资料 本站小编 半岛在线注册 2019-12-14中国矿业大学2005-2006化工原理试卷带详细答案
专业课半岛在线注册资料 本站小编 半岛在线注册 2019-12-14中国矿业大学2013年物理化学半岛在线注册真题
专业课半岛在线注册资料 本站小编 半岛在线注册 2019-12-142017年中国矿业大学化工半岛在线注册英语复试试题
专业课半岛在线注册资料 本站小编 半岛在线注册 2019-12-14中国矿业大学化学工程半岛在线注册英语复试试题
专业课半岛在线注册资料 本站小编 半岛在线注册 2019-12-142016年中国矿业大学物理化学半岛在线注册真题
专业课半岛在线注册资料 本站小编 半岛在线注册 2019-12-142016年中国矿业大学无机及分析化学半岛在线注册真题
专业课半岛在线注册资料 本站小编 半岛在线注册 2019-12-142009年中国矿业大学无机与分析化学考试真题
专业课半岛在线注册资料 本站小编 半岛在线注册 2019-12-142013年中国矿业大学无机与分析化学半岛在线注册真题
专业课半岛在线注册资料 本站小编 半岛在线注册 2019-12-142014年中国矿业大学无机与分析化学半岛在线注册真题
专业课半岛在线注册资料 本站小编 半岛在线注册 2019-12-14中国矿业大学2015年无机与分析化学考试真题
专业课半岛在线注册资料 本站小编 半岛在线注册 2019-12-14中国矿业大学2015年化工原理半岛在线注册真题
专业课半岛在线注册资料 本站小编 半岛在线注册 2019-12-14中国矿业大学2016年化工原理半岛在线注册真题
专业课半岛在线注册资料 本站小编 半岛在线注册 2019-12-14中国矿业大学煤化学复习思考题
煤化学复习思考题1、 中国能源构成有何特点?其发展趋势是什么?2、 为什么我国煤化工产业能够迅速发展?3、 如何学好煤化学?复习思考题1. 煤是由什么物质形成的?2. 植物的主要化学组成是什么?它们各自对成煤的贡献如何?3. 煤的成因类型有哪几种?4. 由高等植物形成煤,要经历哪些过程和变化?5. 泥炭化作用、成岩 ...专业课半岛在线注册资料 本站小编 半岛在线注册 2019-12-14

