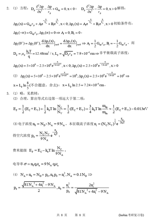
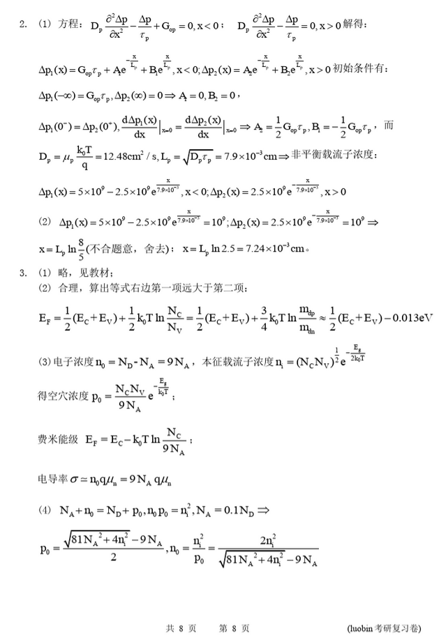
2013年东南大学半导体物理929半岛在线注册复习B卷及答案(8)

本站小编 半岛在线注册/2019-11-30


相关话题/