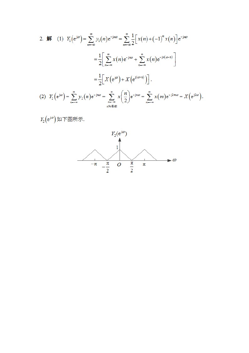
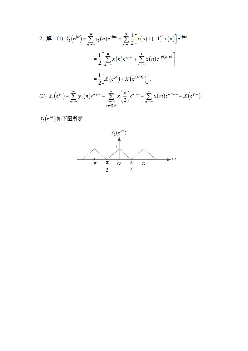
2010南京邮电大学半岛在线注册DSP数字信号处理真题答案部分全解全析(10)

本站小编 半岛在线注册/2019-11-29


相关话题/南京邮电大学

  • 领限时大额优惠券,享本站正版半岛在线注册考试资料!
    大额优惠券
    优惠券领取后72小时内有效,10万种最新半岛在线注册考试考证类电子打印资料任你选。涵盖全国500余所院校半岛在线注册专业课、200多种职业资格考试、1100多种经典教材,产品类型包含电子书、题库、全套资料以及视频,无论您是半岛在线注册复习、考证刷题,还是考前冲刺等,不同类型的产品可满足您学习上的不同需求。 ...
    本站小编 Free壹佰分学习网 2022-09-19
  • 2009南京邮电大学半岛在线注册数字信号处理DSP试题答案全解全析
    本站小编 半岛在线注册 2019-11-29
  • 2019年南京邮电大学829社会研究方法半岛在线注册大纲
    《社会研究方法》考试大纲一、基本要求《社会研究方法》考试从方法论、研究方式和具体研究方法三个层次以及定性研究、定量研究两个方面着手,综合考查考生是否能够比较系统地掌握社会研究的方法论、研究方法以及相关技术,以及认识社会、分析社会现象和问题、解释与预测社会发展变化的能力。基本要求为:1. 理解《社会研 ...
    本站小编 半岛在线注册 2019-05-29
  • 2019年南京邮电大学830翻译与写作半岛在线注册大纲
    830-《翻译与写作》考试大纲一、考试的总体要求研究生入学考试科目《翻译与写作》旨在检查考生英语翻译和写作的能力,包括基础知识和基本技能的掌握情况、英语表达能力和思辨能力。具体要求如下:1. 掌握主要的英汉和汉英翻译技巧1) 关于词汇的翻译方法如增词法、减词法、转换、引申、正反译法等;2)关于句子的 ...
    本站小编 半岛在线注册 2019-05-29
  • 2019年南京邮电大学半岛在线注册大纲
    从南京邮电大学研究生招生信息网获悉,2019年硕士研究生招生专业课考试大纲已公布,如下:2019年南京邮电大学211翻译硕士英语半岛在线注册大纲2019年南京邮电大学241日语(二外)半岛在线注册大纲2019年南京邮电大学242法语(二外)半岛在线注册大纲2019年南京邮电大学357英语翻译基础半岛在线注册大纲2019年南京邮电大 ...
    本站小编 半岛在线注册 2019-05-29
  • 2019年南京邮电大学826生物信息学半岛在线注册大纲
    《生物信息学》考试大纲一、基本要求掌握生物信息学常用数据库和使用方法;掌握序列比对方法和主要比对软件使用方法;掌握DNA序列和蛋白质序列特征分析和常用序列分析软件包使用方法;掌握分子进化理论和常用分析方法;掌握基因功能注释方法和常用软件使用方法;掌握基因表达数据分析方法和常用分析软件使用方法。二、考 ...
    本站小编 半岛在线注册 2019-05-29
  • 2019年南京邮电大学827艺术设计创作半岛在线注册大纲
    《艺术设计创作》考试大纲一、基本要求掌握平面构成、色彩构成、立体构成、设计方法与程序、信息可视化等基本知识内容,主要考察考生艺术设计思维能力、构形能力、设计的程 ...
    本站小编 半岛在线注册 2019-05-29
  • 2019年南京邮电大学828毛泽东思想和中国特色社会主义理论半岛在线注册大纲
    毛泽东思想和中国特色社会主义理论考试大纲一、基本要求本科目注重测试马克思主义中国化的主要成果,即毛泽东思想和中国特色社会主义理论体系邓小平理论、三个代表重要思想、科学发展观和新时代中国特色社会主义思想的历史发展与基本 ...
    本站小编 半岛在线注册 2019-05-29
  • 2019年南京邮电大学825测绘科学技术基础半岛在线注册大纲
    825--《测绘科学技术基础》考试大纲一、基本要求掌握测绘科学的基本概念和研究内容;掌握地球椭球、测绘坐标系统、投影变换等基础概念与原理;掌握角度测量、高差测量、距离测量等基本观测方法,掌握GPS定位原理和GPS测量的基本方法;掌握基本的测量误差知识和误差处理方法;掌握平面控制测量和高程控制测量的基 ...
    本站小编 半岛在线注册 2019-05-29
  • 2019年南京邮电大学820半导体物理半岛在线注册大纲
    820--《半导体物理》考试大纲一、基本要求《半导体物理》硕士研究生入学考试内容主要包括半导体物理的基本概念、基础理论和基本计算;考试命题注重测试考生对相关的物理基本概念的理解、对基本问题的分析和应用,强调物理概念的清晰和对半导体物理问题的综合分析。二、考试范围1、半导体中电子状态1.1半导体的晶格 ...
    本站小编 半岛在线注册 2019-05-29
  • 2019年南京邮电大学821项目管理概论半岛在线注册大纲
    085239--《项目管理概论》考试大纲一、基本要求项目管理是管理学的一个分支学科 ,是指在项目活动中运用专门的知识、技能、工具和方法,保证项目能够在有限资源限定条件下,实现或超过设定的需求和期望的过程。《项目管理概论》考试的目的在于考查考生对项目管理基本概念、基本理论和基本方法的掌握情况以及分析解 ...
    本站小编 半岛在线注册 2019-05-29
  • 2019年南京邮电大学822材料科学基础半岛在线注册大纲
    《材料科学基础》考试大纲一、基本要求要求考生掌握原子结构与键合的基础知识;三大类材料的晶体结构;晶体缺陷分析;相图和相平衡分析;材料的光、电性质及其应用等方面的知识。对材料的结构、性能及相互之间的关系有一定的分析能力。通过本课程考试,为我院选拔在材料、光学工程等领域具有综合材料科学基础的深造人才。二 ...
    本站小编 半岛在线注册 2019-05-29
  • 2019年南京邮电大学824量子力学半岛在线注册大纲
    量子力学考试大纲一、基本要求量子力学是现代物理学的基础理论,理解量子力学(非相对论)的基本概念、基本原理和基本方法及其应用,内容包含量子论基础、波动力学基础、力学量和算符、表象理论、近似方法、自旋与全同粒子等。掌握量子力学的基本原理及表述形式,在分析清楚原理的物理内容的基础上,深入地认识表述原理的数 ...
    本站小编 半岛在线注册 2019-05-29
  • 2019年南京邮电大学817系统分析与设计半岛在线注册大纲
    817--《系统分析与设计》考试大纲一、基本要求1.了解组织中信息系统的类型、关系和作用,以及各类信息工作者的工作内容;2.了解信息系统开发方法、开发过程、开发途径等方法论问题;3. 掌握规范的系统分析与设计方法,能采用常见方法与工具完成数据建模、流程建模工作;3.掌握统一建模语言UML的基本原理和 ...
    本站小编 半岛在线注册 2019-05-29
  • 2019年南京邮电大学818微观经济学半岛在线注册大纲
    818--《微观经济学》考试大纲一、基本要求要求考生把握微观经济学的体系结构,理解微观经济学的基本概念,掌握微观经济学的研究方法和基本原理,并能够运用相关原理和方法分析微观领域的经济现象,解决微观经济运行中的一些实际问题。二、考试范围本课程考试内容要求分为四个层次。识记:能知道有关的名词、概念、知识 ...
    本站小编 半岛在线注册 2019-05-29
  • 2019年南京邮电大学819生物化学半岛在线注册大纲
    819--《生物化学》考试大纲一、基本要求要求考生掌握核酸、蛋白质、酶、糖类、抗生素、激素等生物化学的基本知识;掌握各类生化物质的结构、性质、功能及分离、纯化和表征方法;对重要生物分子的合成代谢与分解代谢有一定的分析能力;理解细胞代谢、基因表达调控、蛋白质工程的基本理论。对涉及生物化学知识的实际问题 ...
    本站小编 半岛在线注册 2019-05-29