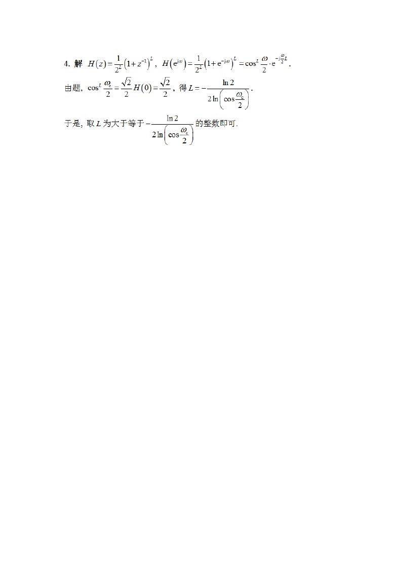
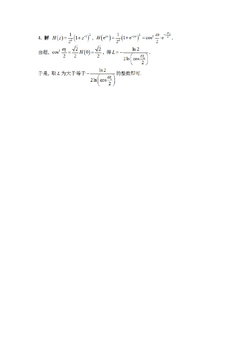
2009南京邮电大学半岛在线注册数字信号处理DSP试题答案全解全析(11)

本站小编 半岛在线注册/2019-11-29


相关话题/南京邮电大学

  • 领限时大额优惠券,享本站正版半岛在线注册考试资料!
    大额优惠券
    优惠券领取后72小时内有效,10万种最新半岛在线注册考试考证类电子打印资料任你选。涵盖全国500余所院校半岛在线注册专业课、200多种职业资格考试、1100多种经典教材,产品类型包含电子书、题库、全套资料以及视频,无论您是半岛在线注册复习、考证刷题,还是考前冲刺等,不同类型的产品可满足您学习上的不同需求。 ...
    本站小编 Free壹佰分学习网 2022-09-19
  • 2019年南京邮电大学829社会研究方法半岛在线注册大纲
    《社会研究方法》考试大纲一、基本要求《社会研究方法》考试从方法论、研究方式和具体研究方法三个层次以及定性研究、定量研究两个方面着手,综合考查考生是否能够比较系统地掌握社会研究的方法论、研究方法以及相关技术,以及认识社会、分析社会现象和问题、解释与预测社会发展变化的能力。基本要求为:1. 理解《社会研 ...
    本站小编 半岛在线注册 2019-05-29
  • 2019年南京邮电大学830翻译与写作半岛在线注册大纲
    830-《翻译与写作》考试大纲一、考试的总体要求研究生入学考试科目《翻译与写作》旨在检查考生英语翻译和写作的能力,包括基础知识和基本技能的掌握情况、英语表达能力和思辨能力。具体要求如下:1. 掌握主要的英汉和汉英翻译技巧1) 关于词汇的翻译方法如增词法、减词法、转换、引申、正反译法等;2)关于句子的 ...
    本站小编 半岛在线注册 2019-05-29
  • 2019年南京邮电大学半岛在线注册大纲
    从南京邮电大学研究生招生信息网获悉,2019年硕士研究生招生专业课考试大纲已公布,如下:2019年南京邮电大学211翻译硕士英语半岛在线注册大纲2019年南京邮电大学241日语(二外)半岛在线注册大纲2019年南京邮电大学242法语(二外)半岛在线注册大纲2019年南京邮电大学357英语翻译基础半岛在线注册大纲2019年南京邮电大 ...
    本站小编 半岛在线注册 2019-05-29
  • 2019年南京邮电大学826生物信息学半岛在线注册大纲
    《生物信息学》考试大纲一、基本要求掌握生物信息学常用数据库和使用方法;掌握序列比对方法和主要比对软件使用方法;掌握DNA序列和蛋白质序列特征分析和常用序列分析软件包使用方法;掌握分子进化理论和常用分析方法;掌握基因功能注释方法和常用软件使用方法;掌握基因表达数据分析方法和常用分析软件使用方法。二、考 ...
    本站小编 半岛在线注册 2019-05-29
  • 2019年南京邮电大学827艺术设计创作半岛在线注册大纲
    《艺术设计创作》考试大纲一、基本要求掌握平面构成、色彩构成、立体构成、设计方法与程序、信息可视化等基本知识内容,主要考察考生艺术设计思维能力、构形能力、设计的程 ...
    本站小编 半岛在线注册 2019-05-29
  • 2019年南京邮电大学828毛泽东思想和中国特色社会主义理论半岛在线注册大纲
    毛泽东思想和中国特色社会主义理论考试大纲一、基本要求本科目注重测试马克思主义中国化的主要成果,即毛泽东思想和中国特色社会主义理论体系邓小平理论、三个代表重要思想、科学发展观和新时代中国特色社会主义思想的历史发展与基本 ...
    本站小编 半岛在线注册 2019-05-29
  • 2019年南京邮电大学825测绘科学技术基础半岛在线注册大纲
    825--《测绘科学技术基础》考试大纲一、基本要求掌握测绘科学的基本概念和研究内容;掌握地球椭球、测绘坐标系统、投影变换等基础概念与原理;掌握角度测量、高差测量、距离测量等基本观测方法,掌握GPS定位原理和GPS测量的基本方法;掌握基本的测量误差知识和误差处理方法;掌握平面控制测量和高程控制测量的基 ...
    本站小编 半岛在线注册 2019-05-29
  • 2019年南京邮电大学820半导体物理半岛在线注册大纲
    820--《半导体物理》考试大纲一、基本要求《半导体物理》硕士研究生入学考试内容主要包括半导体物理的基本概念、基础理论和基本计算;考试命题注重测试考生对相关的物理基本概念的理解、对基本问题的分析和应用,强调物理概念的清晰和对半导体物理问题的综合分析。二、考试范围1、半导体中电子状态1.1半导体的晶格 ...
    本站小编 半岛在线注册 2019-05-29
  • 2019年南京邮电大学821项目管理概论半岛在线注册大纲
    085239--《项目管理概论》考试大纲一、基本要求项目管理是管理学的一个分支学科 ,是指在项目活动中运用专门的知识、技能、工具和方法,保证项目能够在有限资源限定条件下,实现或超过设定的需求和期望的过程。《项目管理概论》考试的目的在于考查考生对项目管理基本概念、基本理论和基本方法的掌握情况以及分析解 ...
    本站小编 半岛在线注册 2019-05-29
  • 2019年南京邮电大学822材料科学基础半岛在线注册大纲
    《材料科学基础》考试大纲一、基本要求要求考生掌握原子结构与键合的基础知识;三大类材料的晶体结构;晶体缺陷分析;相图和相平衡分析;材料的光、电性质及其应用等方面的知识。对材料的结构、性能及相互之间的关系有一定的分析能力。通过本课程考试,为我院选拔在材料、光学工程等领域具有综合材料科学基础的深造人才。二 ...
    本站小编 半岛在线注册 2019-05-29
  • 2019年南京邮电大学824量子力学半岛在线注册大纲
    量子力学考试大纲一、基本要求量子力学是现代物理学的基础理论,理解量子力学(非相对论)的基本概念、基本原理和基本方法及其应用,内容包含量子论基础、波动力学基础、力学量和算符、表象理论、近似方法、自旋与全同粒子等。掌握量子力学的基本原理及表述形式,在分析清楚原理的物理内容的基础上,深入地认识表述原理的数 ...
    本站小编 半岛在线注册 2019-05-29
  • 2019年南京邮电大学817系统分析与设计半岛在线注册大纲
    817--《系统分析与设计》考试大纲一、基本要求1.了解组织中信息系统的类型、关系和作用,以及各类信息工作者的工作内容;2.了解信息系统开发方法、开发过程、开发途径等方法论问题;3. 掌握规范的系统分析与设计方法,能采用常见方法与工具完成数据建模、流程建模工作;3.掌握统一建模语言UML的基本原理和 ...
    本站小编 半岛在线注册 2019-05-29
  • 2019年南京邮电大学818微观经济学半岛在线注册大纲
    818--《微观经济学》考试大纲一、基本要求要求考生把握微观经济学的体系结构,理解微观经济学的基本概念,掌握微观经济学的研究方法和基本原理,并能够运用相关原理和方法分析微观领域的经济现象,解决微观经济运行中的一些实际问题。二、考试范围本课程考试内容要求分为四个层次。识记:能知道有关的名词、概念、知识 ...
    本站小编 半岛在线注册 2019-05-29
  • 2019年南京邮电大学819生物化学半岛在线注册大纲
    819--《生物化学》考试大纲一、基本要求要求考生掌握核酸、蛋白质、酶、糖类、抗生素、激素等生物化学的基本知识;掌握各类生化物质的结构、性质、功能及分离、纯化和表征方法;对重要生物分子的合成代谢与分解代谢有一定的分析能力;理解细胞代谢、基因表达调控、蛋白质工程的基本理论。对涉及生物化学知识的实际问题 ...
    本站小编 半岛在线注册 2019-05-29
  • 2019年南京邮电大学816企业管理半岛在线注册大纲
    816--《企业管理》考试大纲一、基本要求《企业管理》考试的目的在于考查考生对管理学及其在企业管理应用中所涉及的基本概念、基本理论和基本方法的掌握情况以及分析解决实际管理问题的能力。基本要求是:1.准确地理解《企业管理》中的基本概念;2.准确地把握《企业管理》的基本理论;3.正确理解管理的职能;4. ...
    本站小编 半岛在线注册 2019-05-29