姚启钧光学教程第三版答案

本站小编 半岛在线注册/2019-03-28


相关话题/光学

  • 领限时大额优惠券,享本站正版半岛在线注册考试资料!
    大额优惠券
    优惠券领取后72小时内有效,10万种最新半岛在线注册考试考证类电子打印资料任你选。涵盖全国500余所院校半岛在线注册专业课、200多种职业资格考试、1100多种经典教材,产品类型包含电子书、题库、全套资料以及视频,无论您是半岛在线注册复习、考证刷题,还是考前冲刺等,不同类型的产品可满足您学习上的不同需求。 ...
    本站小编 Free壹佰分学习网 2022-09-19
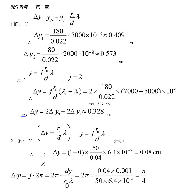
  • 光学教程习题答案(第四版,姚启钧原着)
    目录 第一章光的干涉.....................................3 第二章光的衍射...................................15 第三章几何光学的基本原理...............27 第四章光学仪器的基本原理...............49 第五章光的偏振...................................59 第六章光的吸收、散射和色散...........70 第七章光 ...
    本站小编 半岛在线注册 2019-03-25
  • 南京邮电大学电子与光学工程学院、微电子学院2019年半岛在线注册调剂信息
    2019年全国硕士研究生入学考试初试成绩已经公布,经初步预测,我院电子与通信工程非全日制专业有调剂名额,热忱欢迎校内外符合国家调剂政策的优秀考生调剂到我院继续深造。一、调剂专业及要求我院接收调剂专业如下:专业代码 专业 学科门类/领域 学习方式085208 电子与通信工程 工程 非全日制1. 调剂考 ...
    本站小编 FreeKaoyan 2019-03-20
  • 2019年中科院上海光学精密机械研究所半岛在线注册调剂信息
    经研究决定,上海光机所拟接收本所物理学学术型硕士;材料科学与工程学术型硕士;光学工程专业学位硕士的调剂,以及若干与上海科技大学、上海大学的联合培养调剂生参加复试。一、本所物理学学术型硕士;材料科学与工程学术型硕士的调剂要求1、总分及单科均符合国家线的要求。2、原报考类型必须为学术型硕士。3、初试考试 ...
    本站小编 FreeKaoyan 2019-03-20
  • 西安光学精密机械研究所2019研究生预调剂信息
    2019年我所拟接收少量调剂考生,要求如下:一、申请调剂基本条件1. 本科为重点院校的物理、光信息、数学、计算机、电子、通信、控制等相关专业考生; 同等条件下,本科及报考均为双一流高校考生优先;2. 本科期间学习成绩优秀,对相关科研工作兴趣浓厚;或综合素质突出,担任学生干部、特长生等优先考虑;3. ...
    本站小编 FreeKaoyan 2019-03-20
  • 2019年太原科技大学光学工程半岛在线注册调剂信息
    一、学科介绍随着激光技术和光电技术的发展,光学工程已发展成为以光学为主,信息科学、能源科学、材料科学、生物医学、空间科学、精密机械与制造、计算机科学及电子技术等学科紧密交叉和相互渗透的学科。太原科技大学光学工程学科为山西省重点建设学科,2006年开始招收光学专业硕士研究生,2011年开始招收光学工程 ...
    本站小编 FreeKaoyan 2019-03-20
  • 华南师大光学、光学工程、材料物理与化学专业2019年硕士研究生调剂
    地处广州的华南师范大学作为国家211工程重点建设大学,物理学进入国家世界一流学科建设行列,信息光电子科技学院拥有物理学和电子科学与技术一级博士点,光学专业国家重点学科,2019年硕士招生需调剂接收以下专业考生:一、调剂专业:学术型:光学、光学工 ...
    本站小编 FreeKaoyan 2019-03-20
  • 西安应用光学研究所2019半岛在线注册调剂预通知
    2019年我所拟接收少量调剂考生,要求如下:一、申请调剂基本条件1. 本科为重点院校的电子、机械、通信、控制、软件、机电、导航制导与控制、可靠性、电磁兼容等相关专业的应届考生;2. 本科期间学习成绩优秀,对相关科研工作兴趣浓厚;或综合素质突出,担任学生干部、特长生等优先考虑;3. 申请调剂不得跨领域 ...
    本站小编 FreeKaoyan 2019-03-20
  • 2019年太原理工大学光学工程和集成电路专业半岛在线注册调剂信息
    学校: 太原理工专业: 工学->光学工程年级: 2019招生人数: 8招生状态: 正在招生中补充内容太原理工大学山西省唯一双一流大学崔艳霞教授课题组招收光学工程专业硕士与博士太原理工大学 物理与光电工程学院 有机光电材料与器件研究团队 崔艳霞教授课题组 2019年度招收从事微纳光学与光电子学研究方向 ...
    本站小编 FreeKaoyan 2019-03-20
  • 2019年齐齐哈尔大学光学和原子分子物理方向半岛在线注册调剂信息
    专业:理学->物理学->光学理学->物理学->原子与分子物理年级:2019招生人数:10招生状态:正在招生中要求考量子力学或者普通物理,各科过国家线,有意者将报考专业代码与成绩发送lxj08@163.com。也可联系刘老师,QQ:616718886。 ...
    本站小编 FreeKaoyan 2019-03-20
  • 2019年华南师范大学光学专业调剂信息
    学校:华南师范大学专业:理学->物理学->光学年级:2019招生人数:5招生状态:正在招生中2019年华南师范大学学术学位类和专业学位类硕士研究生调剂信息目前本课题组(隶属华南师范大学国家重点学科光学学科)有1个学术学位类硕士研究生调剂名额,拟招物理、材料等相关学科的学生。专业学位类(光学工程专业) ...
    本站小编 FreeKaoyan 2019-03-20
  • 长春光学精密机械与物理研究所2019年半岛在线注册调剂通知
    2019年我所预计在凝聚态物理、机械电子工程、机械工程(专业硕士)专业需要调剂考生。请相同或相近专业有意向调剂来长春光机所的考生登录我所研究生教育网主页右侧信息系统中的硕士研究生调剂申报系统填写申请信息。登录调剂申报系统时请使用IE浏览器,未按要求填报系统者不予受理。注意事项:一、考生的考试科目二应 ...
    本站小编 FreeKaoyan 2019-03-20
  • 2019年南昌航空大学光学工程专业半岛在线注册调剂信息
    学校:南昌航空大学专业:工学->光学工程年级:2019招生人数:5招生状态:正在招生中补充内容史久林,博士,副教授,硕士生导师,南昌航空大学测试与光电工程学院教师,江西省百千万人才工程及百人远航工程人选,江西省杰出青年” ...
    本站小编 FreeKaoyan 2019-03-20
  • 中科院西安光学精密机械研究所2019年半岛在线注册调剂信息
    2019年我所拟接收少量调剂考生,要求如下:一、申请调剂基本条件1.本科为重点院校的物理、光信息、数学、计算机、电子、通信、控制等相关专业考生;同等条件下,本科及报考均为双一流高校考生优先;2.本科期间学习成绩优秀,对相关科研工作兴趣浓厚;或综合素质突出,担任学生干部、特长生等优先考虑;3.一志愿报 ...
    本站小编 FreeKaoyan 2019-03-20
  • 太原理工大学智能成像光学实验室2019年半岛在线注册调剂信息(工学方向)
    专业:工学->光学工程工学->仪器科学与技术工学->控制科学与工程工学->计算机科学与技术工学->信息与通信工程工学->软件工程年级:2019招生人数:20招生状态:正在招生中太原理工大学智能成像光学实验室针对国家需求,面向深地、深空探测及应用研究,开展多学科融合的新一代智能光学成像仪器和方法研究。 ...
    本站小编 FreeKaoyan 2019-03-20
  • 南昌航空大学F105视光学课题组2019年硕士接收调剂
    学校:南昌航空大学专业:工学->光学工程->检测技术与自动化装置工学->控制科学与工程年级:2019招生人数:3招生状态:正在招生中南昌航空大学无损检测教育部重点实验室视光课题组接收2018硕士调剂生,欢迎从事光学工程、视光类、测试类、机械类、电子、信息与通信类等方向的研究生调剂。研究方向:(1)人 ...
    本站小编 FreeKaoyan 2019-03-20