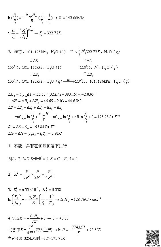
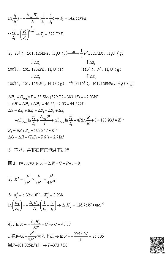
北京化工大学物理化学2011半岛在线注册真题答案自己做的(2)

本站小编 半岛在线注册/2019-03-22


相关话题/物理化学

  • 领限时大额优惠券,享本站正版半岛在线注册考试资料!
    大额优惠券
    优惠券领取后72小时内有效,10万种最新半岛在线注册考试考证类电子打印资料任你选。涵盖全国500余所院校半岛在线注册专业课、200多种职业资格考试、1100多种经典教材,产品类型包含电子书、题库、全套资料以及视频,无论您是半岛在线注册复习、考证刷题,还是考前冲刺等,不同类型的产品可满足您学习上的不同需求。 ...
    本站小编 Free壹佰分学习网 2022-09-19
  • 2019华中科技大学物理化学876半岛在线注册真题(图文)
    本站小编 半岛在线注册加油站 2019-03-21
  • 2019年首都师范大学物理化学专业半岛在线注册调剂信息
    学校: 首都师范大学专业: 理学->化学->物理化学年级: 2019招生人数: 2招生状态: 正在招生中【个人情况综述】: 周晶,首都师范大学化学系教授,硕士生导师。2012年7月毕业于复旦大学化学系,博士研究生。2012年8月就职于首都师范大学化学系。主要研究方向为多功能纳米材料的合成及其在生物诊 ...
    本站小编 FreeKaoyan 2019-03-20
  • 2019年南昌航空大学物理化学及材料类半岛在线注册调剂信息
    学校:南昌航空大学专业:工学->材料科学与工程工学->化学工程与技术工学年级:2019招生人数:16招生状态:正在招生中能源催化与耐高温材料科研团队所在实验室硕士研究生导师包括:黄军同教授、李喜宝副教授、冯志军博士、万里鹰副教授等。导师所在科研院所为省级重点实验室,主要研究方向为:耐高温材料、新能源 ...
    本站小编 FreeKaoyan 2019-03-20
  • 2019年上海工程技术大学材料物理化学方向半岛在线注册调剂
    学校:上海工程专业:理学->化学->无机化学工学->材料科学与工程->材料物理与化学年级:2019招生人数:2招生状态:正在招生中教育经历:2007.09至2011.06河北科技大学材料成型及控制学士2011.09至2014.06昆明理工大学材料加工工程硕士2014.09至2018.06上海交通大学 ...
    本站小编 FreeKaoyan 2019-03-20
  • 中科院—中科大物理化学半岛在线注册笔记
    第一章 热力学第一定律 二、热力学平衡 n 如果体系中各状态函数均不随时间而变化,我们称体系处于 热力学平衡状态。严格意义上的热力学平衡状态应当同时具备三个平衡: 2. 机械平衡: n 体系的各部分之间没有不平衡力的存在,即体系各处压力相同。 2、热力学第一定律 n 对于宏观体系而言,能量守恒原理 ...
    本站小编 半岛在线注册 2019-03-17
  • 西安交通大学723物理化学半岛在线注册真题_重点节选
    一、 西安交通大学723物理化学半岛在线注册真题 1. 题目一 2.题目二 二、 西安交通大学723物理化学半岛在线注册真题考察重点知识节选 1.知识点一 (1)这两条定律都表明某一种物质(蒸气)的平衡蒸气分压与该组分在溶液中的浓度成正比关系.拉乌尔定律所讨论的对象是溶液中的溶剂,比例常数为纯溶剂的蒸气压;亨利定律所讨论的物质为溶 ...
    本站小编 半岛在线注册 2019-03-16
  • 中科院中科大物理化学半岛在线注册复习笔记
    中科院中科大《物理化学》半岛在线注册笔记 第一章 热力学第一定律 二、热力学平衡 n 如果体系中各状态函数均不随时间而变化,我们称体系处于 热力学平衡状态。严格意义上的热力学平衡状态应当同时具备三个平衡: 2. 机械平衡:n 体系的各部分之间没有不平衡力的存在,即体系各处压力相同。2、热力学第一定 ...
    本站小编 半岛在线注册 2019-03-13
  • 天津大学物理化学教研室《物理化学》(第6版)笔记和课后习题(含半岛在线注册真题)详解
    目录封面内容简介目录第1章 气体的pVT关系 1.1 复习笔记 1.2 课后习题详解 1.3 名校半岛在线注册真题详解第2章 热力学第一定律 2.1 复习笔记 2.2 课后习题详解 2.3 名校半岛在线注册真题详解第3章 热力学第二定律 3.1 复习笔记 3.2 课后习题详解 3.3 名校半岛在线注册真题详解第4章 多组分 ...
    本站小编 半岛在线注册 2018-11-30
  • 2019年复旦大学721物理化学(含结构化学)半岛在线注册大纲
    复旦大学2019年硕士研究生招生考试自命题科目考试大纲721物理化学(含结构化学)一、考试内容范围主要包括结构化学、化学热力学及化学动力学等三部分内容。本课程强调物理化学原理及相关基本概念的理解及其应用,要求掌握结构化学、化学热力学及动力学等方面的基础知识,并能综合运用所学知识分析问题和解决问题。其 ...
    本站小编 半岛在线注册 2018-11-04
  • 2019年重庆交通大学物理化学半岛在线注册考试大纲
    重庆交通大学2019年全国硕士研究生招生考试《物理化学》考试大纲一、 考试总体要求物理化学是借助于数学、物理学等基础科学的理论及实验方法,从物质的物理现象和化学现象的联系入手 , 研究物质化学变化的平衡规律和速率规律,以及这些规律在科研、生产、生活实践中的应用。物理化学研究化学反应遵循的基本原理,是 ...
    本站小编 半岛在线注册 2018-11-04
  • 2019年东华大学842无机非金属材料物理化学半岛在线注册初试大纲
    《无机非金属材料物理化学》半岛在线注册复习大纲第一章 结晶学基础1-1晶体的基本概念与性质1-2晶体的宏观对称性1-3晶体的对称分类1-4晶体定向和结晶符号1-6晶体结构的基本特征1-7晶体化学基本原理掌握:基本概念,晶体的对称要素,对称类型,晶体结构的基本特征,配位法则(鲍林规则)。第二章 晶体结构与晶体 ...
    本站小编 半岛在线注册 2018-11-04
  • 2019年东华大学622物理化学半岛在线注册初试大纲
    东华大学硕士研究生入学考试大纲科目名称:物理化学一、考试总体要求《物理化学》是大学本科化学专业的一门重要基础理论课,也是材料科学专业的一门重要必修课程。它是从物质的物理现象和化学现象的联系入手,探求化学变化基本规律的一门科学。物理化学课程的主要内容包括化学热力学、化学动力学、电化学等。要求考生熟练掌 ...
    本站小编 半岛在线注册 2018-11-04
  • 2019年天津工业大学804物理化学半岛在线注册初试大纲
    天津工业大学硕士研究生入学考试业务课考试大纲科目编号:804 科目名称:物理化学一、考试性质物理化学考试科目是我校为招收应用化学、化学工程、材料、环境及轻化工学科硕士研究生而设置的。本课程考试旨在考查考生是否了解物理化学的基本概念、基本理论,以及综合分析和对物理化学知识的运用能力。考试对象为符合国家 ...
    本站小编 半岛在线注册 2018-11-04
  • 2019年大连交通大学804物理化学半岛在线注册初试大纲
    从大连交通大学研究生院获悉,2019年大连交通大学804物理化学半岛在线注册初试大纲已公布,点击查看。 ...
    本站小编 半岛在线注册 2018-11-04
  • 2019年深圳大学935材料科学基础或物理化学或普通物理半岛在线注册初试大纲
    深圳大学2019年硕士研究生入学考试大纲、参考书目(初试科目只提供考试大纲,复试科目只提供参考书目)命题学院/部门(盖章):材料学院考试科目代码及名称:[935]材料科学基础或物理化学或普通物理说明:可使用简易计算器。一、考试基本要求《材料科学基础或物理化学或普通物理》考试大纲适用于报考深圳大学材料 ...
    本站小编 半岛在线注册 2018-11-04