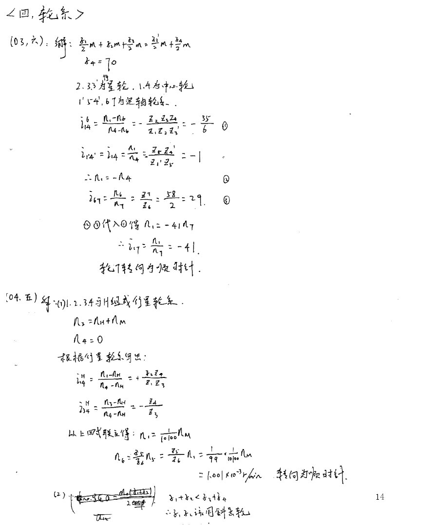
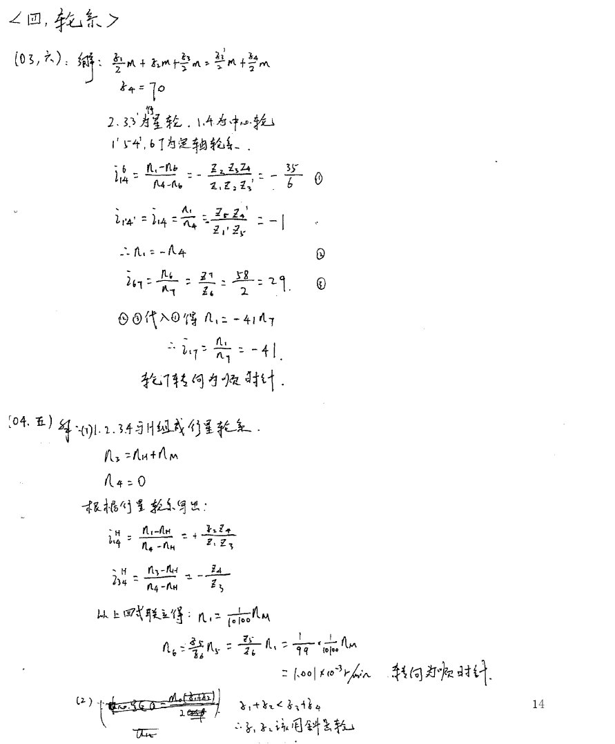
东南大学2003-2007机械原理半岛在线注册真题详细答案(已经按知识点分类)(14)
本站小编 半岛在线注册/2018-04-07
相关话题/机械原理
合肥工业大学机械原理辅导班半岛在线注册笔记24页2010版
专业课半岛在线注册资料 本站小编 半岛在线注册 2018-03-29哈尔滨工业大学机械原理机械设计辅导班半岛在线注册笔记手写2005版
专业课半岛在线注册资料 本站小编 半岛在线注册 2018-03-29哈尔滨工业大学机械设计与机械原理半岛在线注册简要笔记2009版
试卷结构 考试时间180分钟,满分150分 1、题型结构: 1)填空题 20分 2)简答题 20分 3)分析计算题 90分 4)结构设计题 20分 2、 内容结构:1)机械原理部分 70分 2)机械设 ...专业课半岛在线注册资料 本站小编 半岛在线注册 2018-03-29哈尔滨工程大学机械原理辅导班半岛在线注册笔记2009版
专业课半岛在线注册资料 本站小编 半岛在线注册 2018-03-29哈尔滨工程大学机械原理辅导班笔记
专业课半岛在线注册资料 本站小编 半岛在线注册 2018-03-292008,2007,2005,2004年湖南大学机械原理半岛在线注册真题原版
专业课半岛在线注册资料 本站小编 半岛在线注册 2018-03-242008同济大学机械原理半岛在线注册试卷
专业课半岛在线注册资料 本站小编 半岛在线注册 2018-02-20西南交通大学2008机械原理半岛在线注册真题
专业课半岛在线注册资料 本站小编 半岛在线注册 2018-02-202007合肥工业大学机械原理半岛在线注册试题
专业课半岛在线注册资料 本站小编 半岛在线注册 2018-02-202010合肥工业大学机械原理半岛在线注册试题
专业课半岛在线注册资料 本站小编 半岛在线注册 2018-02-20河北工业大学2007年半岛在线注册真题-机械原理A
专业课半岛在线注册经验 本站小编 FreeKaoyan 2018-01-23河北工业大学2006年半岛在线注册真题-机械原理B
专业课半岛在线注册经验 本站小编 FreeKaoyan 2018-01-23天津工业大学2007年半岛在线注册真题-机械原理与机械设计
天津工业大学2007年半岛在线注册专业课试卷机械原理与机械设计上传的附件b5029e40419afadb97017247fd793598.rar(950.35KB) ...专业课半岛在线注册经验 本站小编 FreeKaoyan 2018-01-23南京理工大学2007年半岛在线注册真题-机械原理
专业课半岛在线注册经验 本站小编 FreeKaoyan 2018-01-23江苏大学2007年半岛在线注册真题-机械原理
专业课半岛在线注册经验 本站小编 FreeKaoyan 2018-01-23

