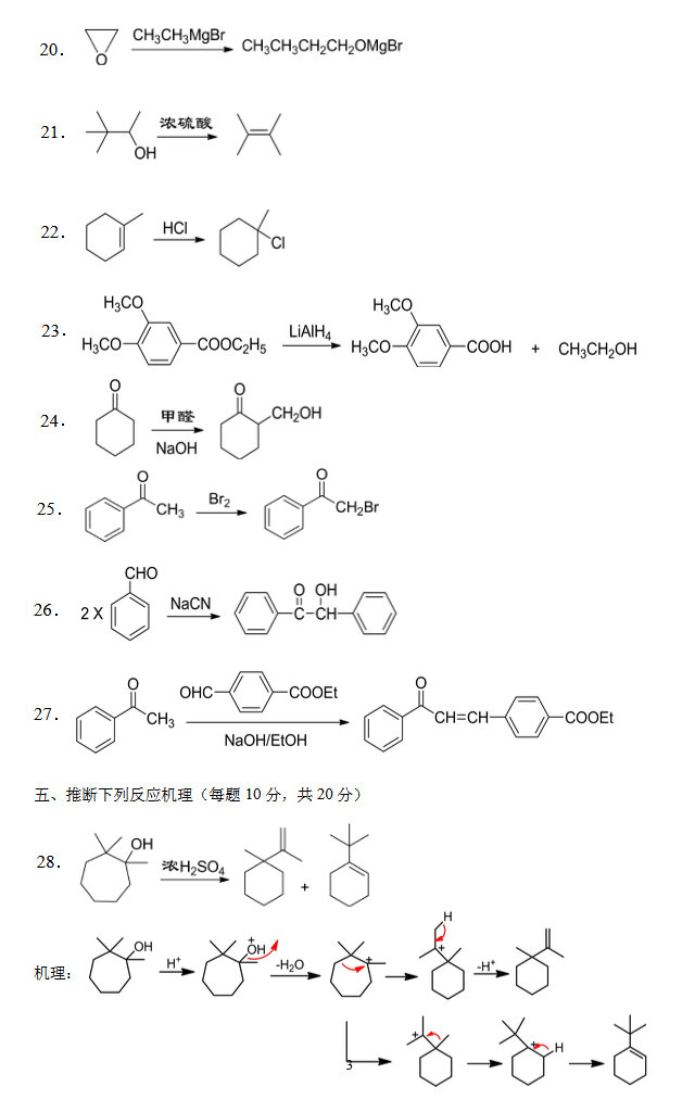
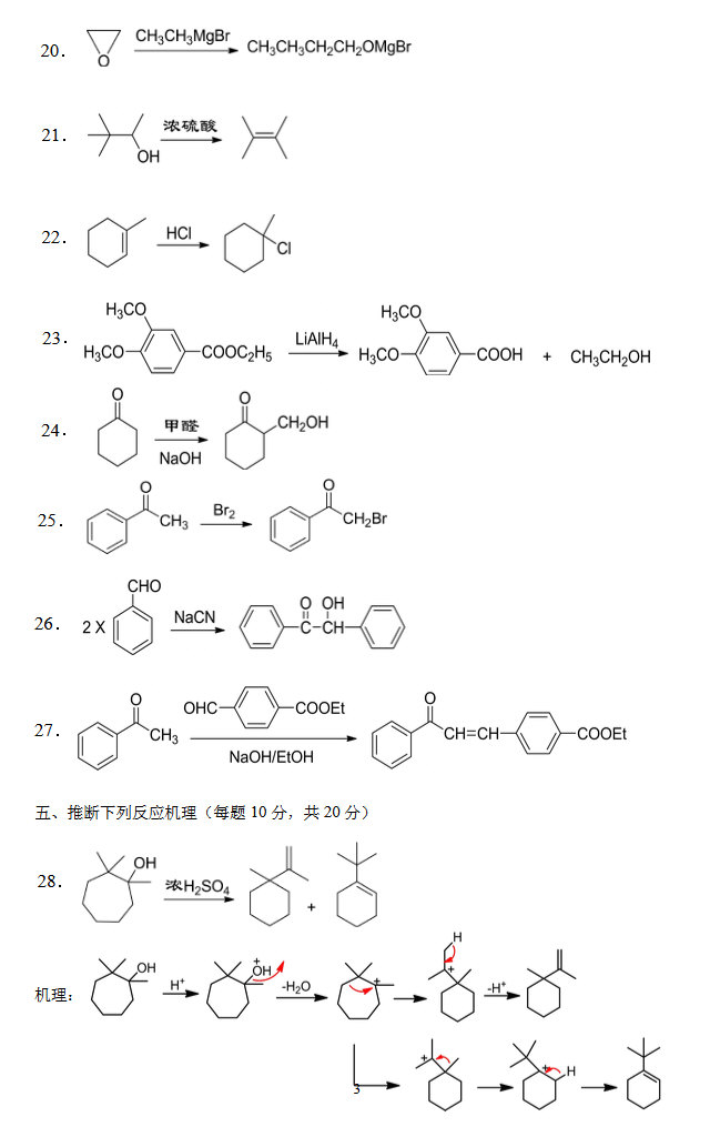
2016青岛海洋大学有机化学半岛在线注册试题及答案(3)

本站小编 半岛在线注册/2018-02-20


相关话题/有机化学