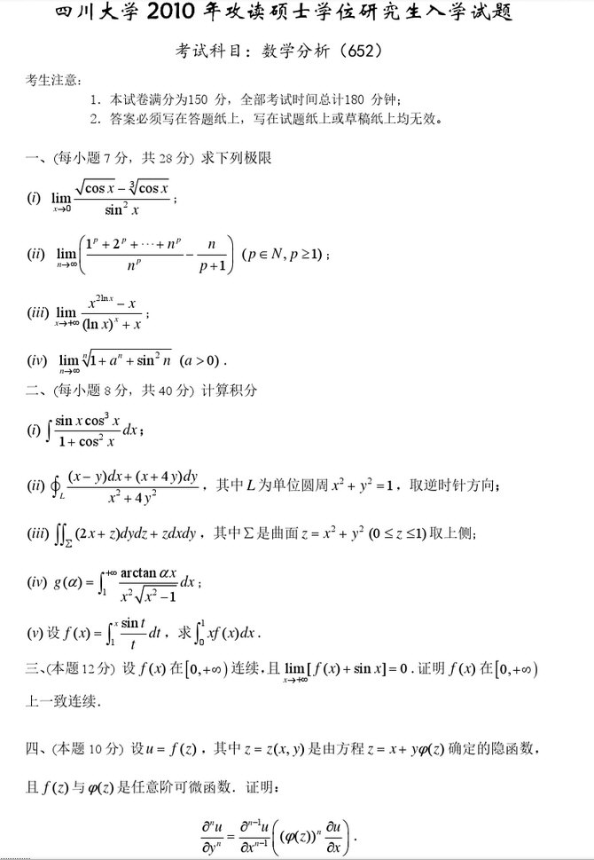
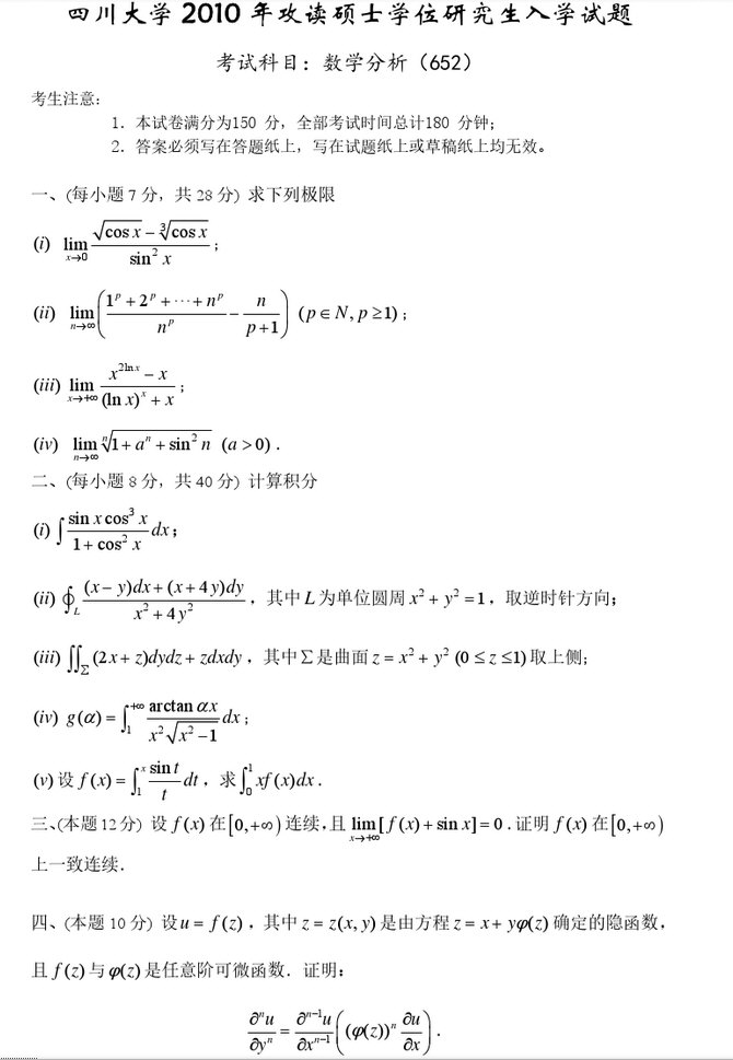
四川大学2009年-2012年数学分析半岛在线注册试题(3)

本站小编 福瑞半岛在线注册网/2016-12-03


相关话题/数学分析