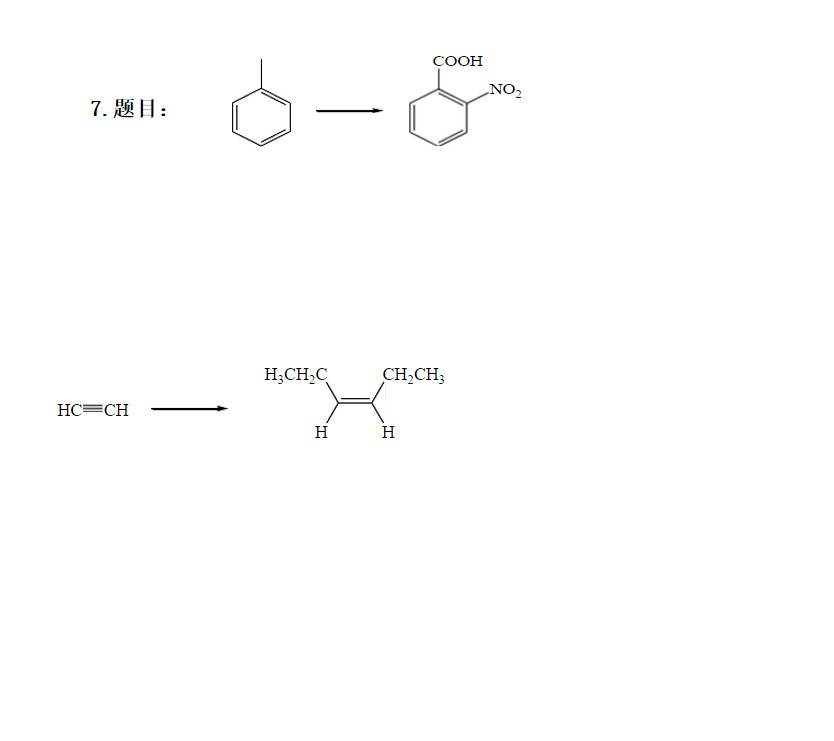
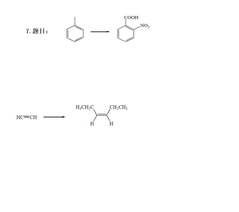
辽宁大学2012级有机化学半岛在线注册真题(6)

本站小编 半岛在线注册/2015-06-10


相关话题/辽宁大学 有机化学

  • 领限时大额优惠券,享本站正版半岛在线注册考试资料!
    大额优惠券
    优惠券领取后72小时内有效,10万种最新半岛在线注册考试考证类电子打印资料任你选。涵盖全国500余所院校半岛在线注册专业课、200多种职业资格考试、1100多种经典教材,产品类型包含电子书、题库、全套资料以及视频,无论您是半岛在线注册复习、考证刷题,还是考前冲刺等,不同类型的产品可满足您学习上的不同需求。 ...
    本站小编 Free壹佰分学习网 2022-09-19
  • 有机化学(高占先)习题答案
    第一章 绪 论 1-1 扼要解释下列术语. (1)有机化合物 (2) 键能、键的离解能 (3) 键长 (4) 极性键 (5) 键 (6)键 (7) 活性中间体 (8) 亲电试剂 (9) 亲核试剂 (10)Lewis碱 (11)溶剂化作用 (12) 诱导效应 (13)动力学控制反应 (14) 热力学控制反应 答:(1)有机化合物-碳氢化合物及其 ...
    本站小编 半岛在线注册 2015-06-10
  • 辽宁大学蛋白质组学期末试题
    蛋白质组学相关试题及答案生命科学院一:名词解释(4分 7题)1 Proteome(蛋白质组):由一个细胞或者组织的基因组所表达的全部相应的蛋白质,称为蛋白质组。Proteomics(蛋白质组学):指应用各种技术手段来研究蛋白质组的一门新兴学科,即研究细胞在不同生理或病理条件下蛋白质表达的异同,对相关蛋白质进行分类和鉴 ...
    本站小编 半岛在线注册 2015-06-10
  • 2011年大连理工大学有机化学及有机化学实验(885)真题
    写在前面的话语: 本人2011年报考大连理工大学应用化学专业,初试专业课数学二和有机化学(885),很遗憾没有考上大工,后调剂,初试的有机化学感觉复习不好,于是在专业课有机化学考试的时候答完自己会做的题目后,将考试真题写在准考证背面,以供学弟学妹们参考。上一次在2011年5月29日已经上传,这一次是综合补充。第一 ...
    本站小编 半岛在线注册 2015-05-19
  • 2012年辽宁大学研究生考试传播学理论(回忆版)
    辽宁大学2012年研究生入学考试试题 传播理论 一.解释题 1. 信息主权 2. 文化帝国主义 3. 数字鸿沟 4. 媒介依存症 5. 受众即市场 6. 主我与客我理论 二. 简述题 1. 信息社会分为几个阶段?这几个阶段的代表人物和作品。 2. 技术决定论 三.论述题 1. 第三人效果 2. 新闻框架。 3. 使用与满足理论的评价 ...
    本站小编 半岛在线注册 2015-05-17
  • 2013辽宁大学广告理论与实务真题(回忆版)
    辽宁大学2013年研究生入学考试试题 广告学理论与实务 一.解释题 1. 广告社会运行体制 2. 本土化策略派 3. 广告效果的累积性 4. 关系营销 5 口碑传播※ 6. 鼓形传播模式 二、简述题 1斯特恩改进的广告传播模式 2广告专业化数据库 3.广告市场全球化 4.整合营销传播的实践困境 三、论述题 1. 广告信息的生产控 ...
    本站小编 半岛在线注册 2015-05-17
  • 2013年辽宁大学研究生考试传播学理论(回忆版)
    辽宁大学2013年研究生入学考试试题 传播理论 一.解释题 1. 媒介即讯息 2. 使用与满足理论※ 3. 刻板成见 4. 信源可信度 5. 大众传播的社会地位赋予功能 6. 基模 二. 简述题 1. 受众的权利 2. 5 w模式的局限性和意义 三.论述题 1. 网络的兴起具有革命性的意义,请阐述这种革命性的意义和特点。 2. 对议程设置 ...
    本站小编 半岛在线注册 2015-05-17
  • 南开大学2015有机化学半岛在线注册真题回忆版
    南开大学2015有机化学半岛在线注册真题回忆版 ...
    本站小编 半岛在线注册 2015-05-05
  • 辽宁大学2015年硕士研究生招生简章
    辽宁大学2015年硕士研究生招生简章已发布,详情如下:  一、招生人数  2015年专业目录中各专业所列招生人数仅供参考,具体招生人数将根据国家当年下达的招生计划确定,复试阶段将略有调整。  推荐免试生拟招生人数包含在专业目录公布的人数中,推荐免试生接收工作预计在10月中下旬结束,具体各专业接收人数可在研究生 ...
    本站小编 半岛在线注册 2015-04-21
  • 辽宁大学2015年硕士研究生招生简章
    辽宁大学2015年硕士研究生招生简章已发布,详情如下:  一、招生人数  2015年专业目录中各专业所列招生人数仅供参考,具体招生人数将根据国家当年下达的招生计划确定,复试阶段将略有调整。  推荐免试生拟招生人数包含在专业目录公布的人数中,推荐免试生接收工作预计在10月中下旬结束,具体各专业接收人数可在研究生 ...
    本站小编 半岛在线注册 2015-04-20
  • 中科院上海有机所2011有机化学半岛在线注册真题
    ...
    本站小编 半岛在线注册 2015-03-08